1.下列有关遗传信息的说法正确的是( )
A. 豌豆的高茎基因与矮茎基因储存的遗传信息不同
B. 细菌的遗传信息储存在拟核和核糖体的 $ \mathrm{D}\mathrm{N}\mathrm{A} $ 上
C. 与原核生物不同的是,真核生物中构成基因的碱基总数小于 $ \mathrm{D}\mathrm{N}\mathrm{A} $ 的碱基总数
D. 由脱氧核糖核苷酸连接而成的核酸具有储存遗传信息、生物催化等功能
豌豆的高茎基因与矮茎基因是一对等位基因,它们控制同一种性状的不同表现类型,储存的遗传信息不同, $ \mathrm{A} $ 正确;细菌的遗传信息主要储存在拟核的 $ \mathrm{D}\mathrm{N}\mathrm{A} $ 上,核糖体中不含 $ \mathrm{D}\mathrm{N}\mathrm{A} $ , $ \mathrm{B} $ 错误;基因是有遗传效应的 $ \mathrm{D}\mathrm{N}\mathrm{A} $ 片段,因此不管是原核生物还是真核生物,绝大多数情况下,体内所有基因的碱基总数均小于 $ \mathrm{D}\mathrm{N}\mathrm{A} $ 分子的碱基总数, $ \mathrm{C} $ 错误;由脱氧核糖核苷酸连接而成的核酸是 $ \mathrm{D}\mathrm{N}\mathrm{A} $ , $ \mathrm{D}\mathrm{N}\mathrm{A} $ 具有储存遗传信息的功能,但不具有生物催化功能,具有生物催化功能的是酶,酶大多数是蛋白质,少数是 $ \mathrm{R}\mathrm{N}\mathrm{A} $ , $ \mathrm{D} $ 错误。
2.果蝇某条染色体上的部分基因如图,下列说法正确的是( )

A. 果蝇的每个基因都由成百上千个核糖核苷酸组成
B. 基因 $ \mathrm{S} $ 和 $ \mathrm{O} $ 互为等位基因
C. 不同基因的部分碱基排列顺序可能相同
D. 不同基因在染色体上不间隔连续排列
果蝇的遗传物质是 $ \mathrm{D}\mathrm{N}\mathrm{A} $ ,其基因是有遗传效应的 $ \mathrm{D}\mathrm{N}\mathrm{A} $ 片段,因此果蝇的每个基因都是由脱氧核糖核苷酸组成的, $ \mathrm{A} $ 错误;基因 $ \mathrm{S} $ 和 $ \mathrm{O} $ 位于同一条染色体上的不同位置,互为非等位基因, $ \mathrm{B} $ 错误;遗传信息蕴藏在4种碱基的排列顺序之中,不同基因的部分碱基排列顺序可能相同, $ \mathrm{C} $ 正确;由图可知,不同基因在染色体上并非都是不间隔连续排列, $ \mathrm{D} $ 错误。
3.如图表示细胞核中染色体、 $ \mathrm{D}\mathrm{N}\mathrm{A} $ 、基因三者关系的图解,其中正确的是( )
A. 
B. 
C. 
D. 
染色体的主要成分是蛋白质和 $ \mathrm{D}\mathrm{N}\mathrm{A} $ ,(真核生物中)基因是具有遗传效应的 $ \mathrm{D}\mathrm{N}\mathrm{A} $ 片段,因而细胞核中它们的关系可表示为染色体包含 $ \mathrm{D}\mathrm{N}\mathrm{A} $ , $ \mathrm{D}\mathrm{N}\mathrm{A} $ 包含基因,故选 $ \mathrm{A} $ 。
4.关于人体细胞中染色体、 $ \mathrm{D}\mathrm{N}\mathrm{A} $ 和基因三者之间关系的叙述,错误的是( )
A. $ \mathrm{D}\mathrm{N}\mathrm{A} $ 分子中并非全部片段都含有遗传信息
B. 细胞中三者数量最多的是基因
C. 基因是有遗传效应的 $ \mathrm{D}\mathrm{N}\mathrm{A} $ 片段或 $ \mathrm{R}\mathrm{N}\mathrm{A} $ 片段
D. 染色体是 $ \mathrm{D}\mathrm{N}\mathrm{A} $ 的主要载体,线粒体中也有 $ \mathrm{D}\mathrm{N}\mathrm{A} $ 的分布
人体中遗传信息是指基因中控制生物性状的脱氧核苷酸的排列顺序, $ \mathrm{D}\mathrm{N}\mathrm{A} $ 分子中有非基因片段,其中不含有遗传信息, $ \mathrm{A} $ 正确;一条染色体上含有一个或两个 $ \mathrm{D}\mathrm{N}\mathrm{A} $ ,一个 $ \mathrm{D}\mathrm{N}\mathrm{A} $ 上含有多个基因,故细胞中三者数量最多的是基因, $ \mathrm{B} $ 正确;在人体细胞中,基因是有遗传效应的 $ \mathrm{D}\mathrm{N}\mathrm{A} $ 片段, $ \mathrm{C} $ 错误;在人体细胞中,染色体是 $ \mathrm{D}\mathrm{N}\mathrm{A} $ 的主要载体,线粒体中也有 $ \mathrm{D}\mathrm{N}\mathrm{A} $ 的分布, $ \mathrm{D} $ 正确。
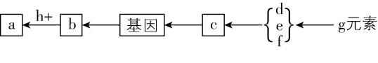
5.如图所示为细胞中与基因有关的物质或结构,请分析并回答下列问题。

(1) 细胞内的遗传物质是[ ] (填字母及物质名称),基因和 $ \mathrm{b} $ 的关系是 。
(2) 遗传物质的主要载体是[ ] (填字母及物质名称),基因和 $ \mathrm{a} $ 的关系是 。
(3) $ \mathrm{c} $ 和 $ \mathrm{b} $ 的关系是 , $ \mathrm{b} $ 被彻底水解后的产物有 (填图中字母)。
(4) 如果基因存在于 上,则其遗传方式与性别相关联,这就是 。这种遗传方式既遵循 定律,又具有特殊性。
(1) $ \mathrm{b} $ ; $ \mathrm{D}\mathrm{N}\mathrm{A} $ ;基因是有遗传效应的 $ \mathrm{D}\mathrm{N}\mathrm{A} $ 片段(或一个 $ \mathrm{D}\mathrm{N}\mathrm{A} $ 分子上有多个基因)
(2) $ \mathrm{a} $ ;染色体;基因在 $ \mathrm{a} $ 上呈线性排列
(3) $ \mathrm{c} $ 是组成 $ \mathrm{b} $ 的基本单位; $ \mathrm{d} $ 、 $ \mathrm{e} $ 、 $ \mathrm{f} $
(4) 性染色体;伴性遗传;分离
(1) 细胞内的遗传物质是 $ [\mathrm{b}]\mathrm{D}\mathrm{N}\mathrm{A} $ ,基因是有遗传效应的 $ \mathrm{D}\mathrm{N}\mathrm{A} $ 片段,一个 $ \mathrm{D}\mathrm{N}\mathrm{A} $ 分子上有多个基因。
(2) 遗传物质的主要载体是 $ [\mathrm{a}] $ 染色体,基因在染色体上呈线性排列。
(3) $ \mathrm{c} $ 为脱氧核苷酸, $ \mathrm{b} $ 为 $ \mathrm{D}\mathrm{N}\mathrm{A} $ , $ \mathrm{c} $ 是组成 $ \mathrm{b} $ 的基本单位, $ \mathrm{D}\mathrm{N}\mathrm{A} $ 被彻底水解后的产物有 $ \mathrm{d} $ 、 $ \mathrm{e} $ 、 $ \mathrm{f} $ (脱氧核糖、含氮碱基和磷酸)。
(4) 如果基因存在于性染色体上,则其遗传方式与性别相关联,这就是伴性遗传。这种遗传方式既遵循分离定律,又具有特殊性。
6.我国一些城市在交通路口启用了人脸识别技术,针对行人和非机动车闯红灯等违规行为进行抓拍,这种技术应用的前提是每个人都具有独一无二的面孔。下列有关叙述错误的是( )
A. 人体遗传信息蕴藏在4种碱基的排列顺序之中
B. $ \mathrm{D}\mathrm{N}\mathrm{A} $ 分子的多样性是指一个 $ \mathrm{D}\mathrm{N}\mathrm{A} $ 分子上有许多个基因
C. 碱基特定的排列顺序,构成了每个 $ \mathrm{D}\mathrm{N}\mathrm{A} $ 分子的特异性
D. 人脸识别技术能够应用的根本原因是 $ \mathrm{D}\mathrm{N}\mathrm{A} $ 分子具有特异性
人体遗传信息蕴藏在4种碱基的排列顺序之中, $ \mathrm{A} $ 正确;碱基排列顺序的千变万化,构成了 $ \mathrm{D}\mathrm{N}\mathrm{A} $ 的多样性,并非指一个 $ \mathrm{D}\mathrm{N}\mathrm{A} $ 上有许多个基因, $ \mathrm{B} $ 错误;碱基特定的排列顺序,构成了每个 $ \mathrm{D}\mathrm{N}\mathrm{A} $ 分子的特异性, $ \mathrm{C} $ 正确;每个人都具有独一无二的面孔是人脸识别技术能够应用的前提,而人脸具有特异性的根本原因是 $ \mathrm{D}\mathrm{N}\mathrm{A} $ 分子具有特异性, $ \mathrm{D} $ 正确。