1.关于“探究酵母菌细胞呼吸的方式”的实验,下列说法正确的是( )
A.实验要在黑暗条件下进行,防止产生氧气对呼吸作用产生影响
B.因酵母菌是异养兼性厌氧菌,所以才能成功完成对比实验
C.为了使酵母菌有充足的氧气,需要向酵母菌培养液中直接通入空气
D.如果产生的气体使澄清石灰水变浑浊,则酵母菌只进行有氧呼吸
酵母菌细胞不进行光合作用产生 $ {\mathrm{O}}_{2} $ ,故该实验无须在黑暗条件下进行, $ \mathrm{A} $ 错误;因酵母菌是异养兼性厌氧菌,既可以进行有氧呼吸,也可以进行无氧呼吸,所以才能成功完成对比实验, $ \mathrm{B} $ 正确;在有氧呼吸的装置中,应先将空气通入 $ \mathrm{N}\mathrm{a}\mathrm{O}\mathrm{H} $ 溶液中,除去空气中的 $ {\mathrm{C}\mathrm{O}}_{2} $ ,避免对实验结果的干扰, $ \mathrm{C} $ 错误;无论是有氧呼吸,还是无氧呼吸,酵母菌都能产生二氧化碳,二氧化碳能使澄清石灰水变浑浊, $ \mathrm{D} $ 错误。
2.为探究酵母菌的呼吸方式,某生物小组制作了如图中 $ \mathrm{a}\sim \mathrm{d} $ 所示装置, $ \mathrm{a} $ 、 $ \mathrm{d} $ 中酵母菌以葡萄糖为底物。下列相关叙述错误的是( )

A.验证酵母菌进行有氧呼吸时,需先将空气通过 $ \mathrm{c} $ 再连接 $ \mathrm{a} $ ,目的是除去空气中的 $ {\mathrm{C}\mathrm{O}}_{2} $
B.验证酵母菌进行无氧呼吸时,将 $ \mathrm{d} $ 放置一会儿再连接 $ \mathrm{b} $ ,可防止 $ \mathrm{d} $ 中原有的 $ {\mathrm{O}}_{2} $ 干扰实验结果
C.连接 $ \mathrm{c}\to \mathrm{b}\to \mathrm{a}\to \mathrm{b} $ ,向 $ \mathrm{c} $ 通气,第一个 $ \mathrm{b} $ 装置的作用是检验通入的空气中 $ {\mathrm{C}\mathrm{O}}_{2} $ 是否被除尽
D.若将 $ \mathrm{b} $ 装置中澄清石灰水换成溴麝香草酚蓝溶液,则溶液颜色变化为由蓝变黄再变绿
验证酵母菌进行有氧呼吸时,可连接 $ \mathrm{c}\to \mathrm{b}\to \mathrm{a}\to \mathrm{b} $ ,先将空气通过 $ \mathrm{c} $ 的目的是用 $ 10\mathrm{\%} $ 的 $ \mathrm{N}\mathrm{a}\mathrm{O}\mathrm{H} $ 溶液除去空气中的 $ {\mathrm{C}\mathrm{O}}_{2} $ ,第一个 $ \mathrm{b} $ 装置的作用是检验通入的空气中 $ {\mathrm{C}\mathrm{O}}_{2} $ 是否被除尽, $ \mathrm{A} $ 、 $ \mathrm{C} $ 正确;验证酵母菌进行无氧呼吸时需要保证无氧的条件,故将 $ \mathrm{d} $ 放置一会儿再连接 $ \mathrm{b} $ ,以保证通入石灰水的 $ {\mathrm{C}\mathrm{O}}_{2} $ 全是无氧呼吸产生的,可防止 $ \mathrm{d} $ 中原有的 $ {\mathrm{O}}_{2} $ 干扰实验结果, $ \mathrm{B} $ 正确; $ {\mathrm{C}\mathrm{O}}_{2} $ 可使溴麝香草酚蓝溶液由蓝变绿再变黄, $ \mathrm{D} $ 错误。
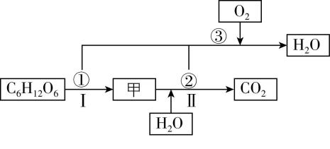
3.如图表示骨骼肌的细胞呼吸过程,Ⅰ、Ⅱ代表发生的场所,①~③代表生理过程。下列叙述错误的是( )

A.场所Ⅰ是细胞质基质
B.①和②过程都会产生 $ [\mathrm{H}] $
C.甲可以在Ⅰ中转化成乳酸
D.骨骼肌细胞不能同时发生②③过程
①表示有氧呼吸的第一阶段,场所Ⅰ是细胞质基质, $ \mathrm{A} $ 正确。②表示有氧呼吸的第二阶段,①②两个过程都产生了 $ [\mathrm{H}] $ , $ \mathrm{B} $ 正确。甲是丙酮酸,可以在细胞质基质中通过无氧呼吸的第二阶段转化成乳酸, $ \mathrm{C} $ 正确。②表示有氧呼吸的第二阶段,发生的场所Ⅱ是线粒体基质;③表示有氧呼吸的第三阶段,发生的场所是线粒体内膜,骨骼肌细胞能同时发生②③过程, $ \mathrm{D} $ 错误。
4.如图是真核细胞有氧呼吸的基本过程。下列说法正确的是( )

A.过程①和②发生的场所是细胞质基质
B.在氧气充足的条件下才能进行过程①
C.过程②产生的 $ \mathrm{A}\mathrm{T}\mathrm{P} $ 比过程④少
D.图中的 $ [\mathrm{H}] $ 在线粒体内膜被消耗
①发生在细胞质基质,②发生在线粒体基质, $ \mathrm{A} $ 错误;有氧呼吸和无氧呼吸第一阶段相同,故有氧、无氧均可进行过程①, $ \mathrm{B} $ 错误;②产生少量的 $ \mathrm{A}\mathrm{T}\mathrm{P} $ ,④产生大量 $ \mathrm{A}\mathrm{T}\mathrm{P} $ , $ \mathrm{C} $ 正确;图中的 $ [\mathrm{H}] $ 在线粒体内膜与 $ {\mathrm{O}}_{2} $ 结合生成 $ {\mathrm{H}}_{2}\mathrm{O} $ , $ \mathrm{D} $ 正确。
5.马铃薯块茎储藏不当会出现酸味,这种现象与马铃薯块茎细胞的无氧呼吸有关。下列叙述正确的是( )
A.马铃薯块茎细胞无氧呼吸的产物是乳酸和二氧化碳
B.马铃薯块茎细胞无氧呼吸产生乳酸的阶段,也会生成少量 $ \mathrm{A}\mathrm{T}\mathrm{P} $
C.马铃薯块茎细胞无氧呼吸产生乳酸的过程在细胞质基质中进行
D.马铃薯块茎储藏库中氧气浓度的升高会增加酸味的产生
马铃薯块茎细胞无氧呼吸的产物是乳酸,该过程不产生二氧化碳, $ \mathrm{A} $ 错误;马铃薯块茎细胞无氧呼吸产生乳酸的阶段是无氧呼吸第二阶段,不能生成 $ \mathrm{A}\mathrm{T}\mathrm{P} $ , $ \mathrm{B} $ 错误;无氧呼吸的全部过程都是在细胞质基质中进行的, $ \mathrm{C} $ 正确;马铃薯块茎储存时,氧气浓度增加会抑制其无氧呼吸,不会增加酸味的产生, $ \mathrm{D} $ 错误。