1.下列关于核酸的叙述,正确的是( )
A.核酸一般是由C、 $ \mathrm{H} $ 、 $ \mathrm{O} $ 、 $ \mathrm{N} $ 、 $ \mathrm{S} $ 五种元素构成
B.组成核苷酸的小分子包括磷酸、五碳糖、含氮碱基
C.真核生物以 $ \mathrm{D}\mathrm{N}\mathrm{A} $ 为遗传物质,原核生物以 $ \mathrm{R}\mathrm{N}\mathrm{A} $ 为遗传物质
D.A、 $ \mathrm{T} $ 、 $ \mathrm{C}3 $ 种碱基最多参与构成4种核糖核苷酸
核酸由 $ \mathrm{C} $ 、 $ \mathrm{H} $ 、 $ \mathrm{O} $ 、 $ \mathrm{N} $ 、 $ \mathrm{P} $ 五种元素构成, $ \mathrm{A} $ 错误;一个核苷酸是由一分子磷酸、一分子五碳糖和一分子含氮碱基组成的, $ \mathrm{B} $ 正确;真核生物和原核生物均以 $ \mathrm{D}\mathrm{N}\mathrm{A} $ 作为遗传物质, $ \mathrm{C} $ 错误;碱基 $ \mathrm{A} $ 可以组成腺嘌呤核糖核苷酸和腺嘌呤脱氧核苷酸,碱基 $ \mathrm{C} $ 可以组成胞嘧啶核糖核苷酸和胞嘧啶脱氧核苷酸,碱基 $ \mathrm{T} $ 只能组成胸腺嘧啶脱氧核苷酸,因此 $ \mathrm{A} $ 、 $ \mathrm{T} $ 、 $ \mathrm{C}3 $ 种碱基最多参与构成2种核糖核苷酸, $ \mathrm{D} $ 错误。
2.核酸是细胞内携带遗传信息的物质,在生物体的遗传、变异和蛋白质的生物合成中具有极其重要的作用。下列有关核酸的叙述正确的是( )
A.真核细胞中的核酸主要分布在细胞核中
B.具有细胞结构的生物才含有核酸
C.核酸分为脱氧核糖核酸 $ (\mathrm{D}\mathrm{N}\mathrm{A}) $ 和核糖核苷酸 $ (\mathrm{R}\mathrm{N}\mathrm{A}) $ 两大类
D.线粒体和叶绿体中都含少量的核酸
真核细胞的核酸分为 $ \mathrm{D}\mathrm{N}\mathrm{A} $ 和 $ \mathrm{R}\mathrm{N}\mathrm{A} $ ,其中 $ \mathrm{D}\mathrm{N}\mathrm{A} $ 主要分布在细胞核中, $ \mathrm{R}\mathrm{N}\mathrm{A} $ 主要分布在细胞质中, $ \mathrm{A} $ 错误;病毒没有细胞结构,但含有核酸, $ \mathrm{B} $ 错误;核酸分为脱氧核糖核酸 $ (\mathrm{D}\mathrm{N}\mathrm{A}) $ 和核糖核酸 $ (\mathrm{R}\mathrm{N}\mathrm{A}) $ 两大类,核糖核苷酸是 $ \mathrm{R}\mathrm{N}\mathrm{A} $ 的基本组成单位, $ \mathrm{C} $ 错误;线粒体和叶绿体中都含有少量的 $ \mathrm{D}\mathrm{N}\mathrm{A} $ 和 $ \mathrm{R}\mathrm{N}\mathrm{A} $ , $ \mathrm{D} $ 正确。
3.如图是组成 $ \mathrm{D}\mathrm{N}\mathrm{A} $ 和 $ \mathrm{R}\mathrm{N}\mathrm{A} $ 的核苷酸的结构示意图,下列有关说法错误的是( )

A.甲型 $ \mathrm{H}1\mathrm{N}1 $ 流感病毒中含有4种碱基和4种核苷酸
B.由核糖核苷酸组成的核酸全部分布于细胞质中
C.主要存在于硝化细菌的拟核中的核酸含4种碱基
D. $ \mathrm{D}\mathrm{N}\mathrm{A} $ 彻底水解得到的产物中有脱氧核糖,没有核糖
甲型 $ \mathrm{H}1\mathrm{N}1 $ 流感病毒的遗传物质是 $ \mathrm{R}\mathrm{N}\mathrm{A} $ ,含有由4种碱基 $ (\mathrm{A} $ 、 $ \mathrm{G} $ 、 $ \mathrm{C} $ 、 $ \mathrm{U}) $ 组成的4种核糖核苷酸(腺嘌呤核糖核苷酸、鸟嘌呤核糖核苷酸、胞嘧啶核糖核苷酸、尿嘧啶核糖核苷酸), $ \mathrm{A} $ 正确; $ \mathrm{R}\mathrm{N}\mathrm{A} $ 主要位于细胞质中,少量位于细胞核中, $ \mathrm{B} $ 错误;主要存在于硝化细菌拟核中的核酸为 $ \mathrm{D}\mathrm{N}\mathrm{A} $ ,含4种碱基 $ (\mathrm{A} $ 、 $ \mathrm{T} $ 、 $ \mathrm{C} $ 、 $ \mathrm{G}) $ , $ \mathrm{C} $ 正确; $ \mathrm{D}\mathrm{N}\mathrm{A} $ 的基本组成单位是脱氧核苷酸,一个脱氧核苷酸由一分子磷酸、一分子脱氧核糖、一分子含氮碱基组成,所以 $ \mathrm{D}\mathrm{N}\mathrm{A} $ 彻底水解得到的产物中有脱氧核糖,没有核糖, $ \mathrm{D} $ 正确。
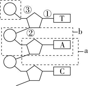
4.如图为核苷酸长链部分结构图,下列表述正确的是( )

A.图中的 $ \mathrm{a} $ 和 $ \mathrm{b} $ 都能构成一个完整核苷酸
B.核苷酸链中,每个五碳糖都有2个磷酸与它直接相连
C.在一条核苷酸链中,各核苷酸之间是通过③连接起来的
D.无论真核细胞还是原核细胞,都有4种碱基和8种核苷酸
一个核苷酸分子中应该是五碳糖的 $ 5\prime $ 位和磷酸相连,图中 $ \mathrm{b} $ 为五碳糖的 $ 3\prime $ 位和磷酸相连,故 $ \mathrm{b} $ 不是一个核苷酸, $ \mathrm{A} $ 错误;由题图可知,核苷酸链 $ 3\prime $ 端的五碳糖与1个磷酸相连,其余五碳糖均与2个磷酸相连, $ \mathrm{B} $ 错误;由图可知,在一条核苷酸链中各核苷酸之间是通过③连接起来的, $ \mathrm{C} $ 正确;真核细胞和原核细胞都同时含 $ \mathrm{D}\mathrm{N}\mathrm{A} $ 和 $ \mathrm{R}\mathrm{N}\mathrm{A} $ ,都有5种碱基 $ (\mathrm{A} $ 、 $ \mathrm{U} $ 、 $ \mathrm{G} $ 、 $ \mathrm{C} $ 、 $ \mathrm{T}) $ 和8种核苷酸, $ \mathrm{D} $ 错误。
5.图甲为某种核苷酸示意图,图乙为某段核苷酸链示意图,下列有关说法正确的是( )

甲 乙
A.图甲中所示物质是核糖核苷酸,人体内有4种
B.由1条图乙所示核苷酸链构成的 $ \mathrm{R}\mathrm{N}\mathrm{A} $ 分子,主要分布在细胞质中
C.图乙化合物基本组成单位可用 $ \mathrm{b} $ 表示,A、C间通过磷酸连接
D.图乙所示的核苷酸链以碳链作为基本骨架
图甲中的五碳糖为核糖,因此该物质是核糖核苷酸,人体内有4种:腺嘌呤核糖核苷酸、鸟嘌呤核糖核苷酸、胞嘧啶核糖核苷酸、尿嘧啶核糖核苷酸, $ \mathrm{A} $ 正确;图乙的核苷酸链中含有碱基 $ \mathrm{T} $ ,因此图乙中核苷酸链不能构成 $ \mathrm{R}\mathrm{N}\mathrm{A} $ 分子, $ \mathrm{B} $ 错误;图乙化合物基本组成单位可用 $ \mathrm{b} $ 表示, $ \mathrm{A} $ 、 $ \mathrm{C} $ 间通过五碳糖—磷酸—五碳糖连接, $ \mathrm{C} $ 错误;图乙所示的核苷酸链为脱氧核苷酸链,是以碳链作为基本骨架的, $ \mathrm{D} $ 正确。
6.图1为某种核苷酸的示意图,图2为某概念模型,请据图回答问题:

图1 图2
(1) 图1所示的物质是 的基本组成单位;该物质在生物体内共有4种,区分依据是 。请指出图1中 (填序号)位置上的氧去掉后便可能成为合成细菌遗传物质的基本原料。
(2) 图2为 $ \mathrm{D}\mathrm{N}\mathrm{A} $ 和 $ \mathrm{R}\mathrm{N}\mathrm{A} $ 化学组成成分的比较概念图,图中阴影部分表示 。
(3) 生物体细胞中的核酸彻底水解的产物有 种。核酸的功能是 。
(1) 核糖核酸 $ ( $ 或 $ \mathrm{R}\mathrm{N}\mathrm{A}) $ ;碱基的不同;③
(2) 胞嘧啶 $ (\mathrm{C}) $ 、鸟嘌呤 $ (\mathrm{G}) $ 、腺嘌呤 $ (\mathrm{A}) $ 、磷酸
(3) 8;在细胞内携带遗传信息,在生物体的遗传、变异和蛋白质的生物合成中具有极其重要的作用
(1) 图1中的物质由磷酸、核糖和含氮碱基组成;根据图1中③判断,该核苷酸的五碳糖是核糖,即该核苷酸为核糖核苷酸,是 $ \mathrm{R}\mathrm{N}\mathrm{A} $ 的基本组成单位。组成 $ \mathrm{R}\mathrm{N}\mathrm{A} $ 的碱基有4种,可根据碱基的不同来区分核糖核苷酸。细菌的遗传物质是 $ \mathrm{D}\mathrm{N}\mathrm{A} $ ,图1(尿嘧啶核糖核苷酸除外)中③处的氧去掉后变为脱氧核糖核苷酸,是合成 $ \mathrm{D}\mathrm{N}\mathrm{A} $ 的基本原料。
(2) 组成 $ \mathrm{D}\mathrm{N}\mathrm{A} $ 的物质有磷酸、脱氧核糖、胞嘧啶、鸟嘌呤、腺嘌呤和胸腺嘧啶,组成 $ \mathrm{R}\mathrm{N}\mathrm{A} $ 的物质有磷酸、核糖、胞嘧啶、鸟嘌呤、腺嘌呤和尿嘧啶;图中阴影部分表示 $ \mathrm{D}\mathrm{N}\mathrm{A} $ 和 $ \mathrm{R}\mathrm{N}\mathrm{A} $ 共有的成分,包括胞嘧啶、鸟嘌呤、腺嘌呤、磷酸。
(3) 体细胞中的核酸包括 $ \mathrm{D}\mathrm{N}\mathrm{A} $ 和 $ \mathrm{R}\mathrm{N}\mathrm{A} $ 两种,彻底水解的产物有磷酸、核糖和脱氧核糖、5种碱基 $ (\mathrm{A} $ 、 $ \mathrm{T} $ 、 $ \mathrm{U} $ 、 $ \mathrm{G} $ 、 $ \mathrm{C}) $ ,共8种产物。核酸是细胞(生物体)内携带遗传信息的物质,在生物体的遗传、变异和蛋白质的生物合成中具有极其重要的作用。
7.一般来说,生物体内合成的相对分子质量超过10 000的有机化合物被称为生物大分子。下列有关生物大分子的叙述,正确的是( )
A.多糖、蛋白质、核酸、甘油三酯等都是生物大分子
B.构成生物大分子的单体在排列顺序上并不都具有多样性
C.以氮链为骨架的生物大分子,构成细胞生命大厦的基本框架
D.生物大分子都含有C、 $ \mathrm{H} $ 、 $ \mathrm{O} $ 、 $ \mathrm{N} $ 四种含量高的元素
甘油三酯(脂肪)不属于生物大分子, $ \mathrm{A} $ 错误;构成淀粉、纤维素的单体均是葡萄糖,在排列顺序上不具有多样性,而构成蛋白质、核酸的单体在排列顺序上具有多样性,所以构成生物大分子的单体在排列顺序上并不都具有多样性, $ \mathrm{B} $ 正确;生物大分子以碳链为骨架,构成细胞生命大厦的基本框架, $ \mathrm{C} $ 错误;有些生物大分子,如淀粉、糖原,只含 $ \mathrm{C} $ 、 $ \mathrm{H} $ 、 $ \mathrm{O} $ 三种元素, $ \mathrm{D} $ 错误。
8.多糖、蛋白质、核酸等生物大分子是由许多单体连接成的多聚体。下列叙述错误的是( )
A.糖原和纤维素的功能不同是因为其单体的排列顺序不同
B.氨基酸是蛋白质的单体,不同氨基酸的区别是 $ \mathrm{R} $ 基的不同
C.脱氧核苷酸是 $ \mathrm{D}\mathrm{N}\mathrm{A} $ 的单体,脱氧核苷酸的排列顺序可以储存遗传信息
D.细胞质、细胞核中均含有由糖类参与形成的化合物
糖原和纤维素的功能不同是因为其分子结构不同, $ \mathrm{A} $ 错误;蛋白质的单体是氨基酸,不同氨基酸的区别是 $ \mathrm{R} $ 基的不同, $ \mathrm{B} $ 正确;脱氧核苷酸是 $ \mathrm{D}\mathrm{N}\mathrm{A} $ 的单体,生物的遗传信息储存在脱氧核苷酸的排列顺序中, $ \mathrm{C} $ 正确;细胞质和细胞核中含有核酸,核酸中含有五碳糖,故二者均含有由糖类参与形成的化合物, $ \mathrm{D} $ 正确。
9.生物大分子是由许多相同或相似的基本单位组成的多聚体,如图表示细胞利用基本单位合成生物大分子的示意图,下列说法错误的是( )

A.若该生物大分子是糖原,则该生物大分子是动物细胞内的储能物质
B.若该生物大分子携带遗传信息,则该生物大分子一定是 $ \mathrm{D}\mathrm{N}\mathrm{A} $
C.若该生物大分子含有 $ \mathrm{S} $ 元素,则加热、加酸、加酒精、 $ 0\mathrm{℃} $ 低温都能使其变性失活
D.若该生物大分子是植物细胞壁的主要成分,则该生物大分子水解产物是葡萄糖和果糖
糖原是生物大分子,也是动物细胞中的储能物质, $ \mathrm{A} $ 正确;若该生物大分子携带遗传信息,则该生物大分子是核酸,可能是 $ \mathrm{D}\mathrm{N}\mathrm{A} $ 或 $ \mathrm{R}\mathrm{N}\mathrm{A} $ , $ \mathrm{B} $ 错误;若该生物大分子含有 $ \mathrm{S} $ 元素,则该生物大分子是蛋白质,加热、加酸、加酒精都能使其变性失活,但 $ 0\mathrm{℃} $ 低温不会使其变性失活, $ \mathrm{C} $ 错误;若该生物大分子是植物细胞壁的主要成分,则该生物大分子可能是纤维素,纤维素的水解产物是葡萄糖, $ \mathrm{D} $ 错误。
10.不同生物含有的核酸种类不同。原核生物和真核生物同时含有 $ \mathrm{D}\mathrm{N}\mathrm{A} $ 和 $ \mathrm{R}\mathrm{N}\mathrm{A} $ ,病毒体内含有 $ \mathrm{D}\mathrm{N}\mathrm{A} $ 或 $ \mathrm{R}\mathrm{N}\mathrm{A} $ 。下列关于各种生物或细胞中碱基、核苷酸、五碳糖种类的描述,正确的是( )
选项 | A | B | C | D |
生物或细胞 | $ \mathrm{T}4 $ 噬菌体 | 烟草叶肉细胞 | 烟草花叶病毒 | 豌豆根毛细胞 |
碱基 | 5种 | 5种 | 4种 | 8种 |
核苷酸 | 5种 | 8种 | 8种 | 8种 |
五碳糖 | 1种 | 2种 | 2种 | 2种 |
B
$ \mathrm{T}4 $ 噬菌体属于 $ \mathrm{D}\mathrm{N}\mathrm{A} $ 病毒,只含有 $ \mathrm{D}\mathrm{N}\mathrm{A} $ 一种核酸,所以含有4种碱基 $ (\mathrm{A} $ 、 $ \mathrm{T} $ 、 $ \mathrm{C} $ 、 $ \mathrm{G}) $ 、4种(脱氧)核苷酸、1种五碳糖(脱氧核糖), $ \mathrm{A} $ 错误;烟草叶肉细胞中同时含有 $ \mathrm{D}\mathrm{N}\mathrm{A} $ 和 $ \mathrm{R}\mathrm{N}\mathrm{A} $ 两种核酸,所以含有8种核苷酸(4种脱氧核苷酸和4种核糖核苷酸)、2种五碳糖(脱氧核糖和核糖)、5种碱基 $ (\mathrm{A} $ 、 $ \mathrm{T} $ 、 $ \mathrm{C} $ 、 $ \mathrm{G} $ 、 $ \mathrm{U}) $ , $ \mathrm{B} $ 正确;烟草花叶病毒属于 $ \mathrm{R}\mathrm{N}\mathrm{A} $ 病毒,只含有 $ \mathrm{R}\mathrm{N}\mathrm{A} $ 一种核酸,所以含有4种碱基 $ (\mathrm{A} $ 、 $ \mathrm{U} $ 、 $ \mathrm{C} $ 、 $ \mathrm{G}) $ 、4种(核糖)核苷酸、1种五碳糖(核糖), $ \mathrm{C} $ 错误;豌豆根毛细胞中同时含有 $ \mathrm{D}\mathrm{N}\mathrm{A} $ 和 $ \mathrm{R}\mathrm{N}\mathrm{A} $ 两种核酸,所以含有8种核苷酸(4种脱氧核苷酸和4种核糖核苷酸)、2种五碳糖(脱氧核糖和核糖)、5种碱基 $ (\mathrm{A} $ 、 $ \mathrm{T} $ 、 $ \mathrm{C} $ 、 $ \mathrm{G} $ 、 $ \mathrm{U}) $ , $ \mathrm{D} $ 错误。