1.某校高中部开展了跑操活动.每天下午17:20开始跑操,某天下午,1班同学绕跑道跑了两圈用时大约6分钟.下列说法正确的是( )(多选)
A.“17:20”指时间,“6分钟”指时刻
B.“17:20”指时刻,“6分钟”指时间
C.“17:20”和“6分钟”在时间轴上分别用点和线段来表示
D.“17:20”和“6分钟”在时间轴上均用线段来表示
根据题意可知,“17:20”指时刻,“6分钟”指时间,则“17:20”和“6分钟”在时间轴上分别用点和线段来表示,故 $ \mathrm{B} $ 、 $ \mathrm{C} $ 正确.
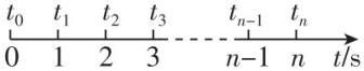
2.如图所示为一时间轴,下列说法正确的是( )

A. $ {t}_{2} $ 表示时刻,称为第 $ 2\mathrm{s} $ 末或第 $ 3\mathrm{s} $ 初,也可以称为 $ 2\mathrm{s} $ 内
B. $ {t}_{n-1}\mathrm{~}{t}_{n} $ 表示时间间隔,称为第 $ n\mathrm{s} $ 内
C. $ {t}_{0}\mathrm{~}{t}_{2} $ 表示时间间隔,称为最初 $ 2\mathrm{s} $ 或第 $ 2\mathrm{s} $ 内
D. $ {t}_{n-1} $ 表示时刻,称为第 $ (n-1)\mathrm{s} $
$ {t}_{2} $ 表示时刻,称为第 $ 2\mathrm{s} $ 末或第 $ 3\mathrm{s} $ 初,但不能称为 $ 2\mathrm{s} $ 内, $ 2\mathrm{s} $ 内表示时间间隔,故 $ \mathrm{A} $ 错误; $ {t}_{n-1}\mathrm{~}{t}_{n} $ 表示时间间隔,称为第 $ n\mathrm{s} $ 内,故 $ \mathrm{B} $ 正确; $ {t}_{0}\mathrm{~}{t}_{2} $ 表示时间间隔,称为最初 $ 2\mathrm{s} $ 或前 $ 2\mathrm{s} $ 内,不是第 $ 2\mathrm{s} $ 内,故 $ \mathrm{C} $ 错误; $ {t}_{n-1} $ 表示时刻,称为第 $ n\mathrm{s} $ 初或第 $ (n-1)\mathrm{s} $ 末,故 $ \mathrm{D} $ 错误.
3.如图所示, $ A $ 、 $ B $ 、 $ C $ 三点的坐标分别为 $ 2\mathrm{m} $ 、 $ 4\mathrm{m} $ 、 $ -3\mathrm{m} $ ,某质点先从 $ A $ 点沿坐标轴运动到 $ B $ 点,该过程质点的位移为 $ {s}_{1} $ ;然后质点从 $ B $ 点沿坐标轴运动到 $ C $ 点,该过程质点的位移为 $ {s}_{2} $ .则( )

A. $ {s}_{1} $ 与 $ {s}_{2} $ 的方向相反
B. $ {s}_{1} $ 大于 $ {s}_{2} $
C.整个过程,质点的位移大小为 $ 5\mathrm{m} $ ,方向指向 $ x $ 轴正方向
D.整个过程,质点通过的路程为 $ 3\mathrm{m} $
由题意可知 $ {s}_{1}=4\mathrm{m}-2\mathrm{m}=2\mathrm{m} $ , $ {s}_{2}=-3\mathrm{m}-4\mathrm{m}=-7\mathrm{m} $ ,故 $ {s}_{1} $ 与 $ {s}_{2} $ 的方向相反,位移是矢量,比较大小用绝对值,故 $ {s}_{1} $ 小于 $ {s}_{2} $ ,故 $ \mathrm{A} $ 正确, $ \mathrm{B} $ 错误;整个过程,质点的位移为 $ s=-3\mathrm{m}-2\mathrm{m}=-5\mathrm{m} $ ,质点的位移大小为 $ 5\mathrm{m} $ ,方向指向 $ x $ 轴负方向,故 $ \mathrm{C} $ 错误;整个过程,质点通过的路程为 $ l=|{s}_{1}|+|{s}_{2}|=2\mathrm{m}+7\mathrm{m}=9\mathrm{m} $ ,故 $ \mathrm{D} $ 错误.
4.如图所示,可视为质点的物体沿半径均为 $ R $ 的半圆弧 $ AB $ 和四分之三圆弧 $ BCDE $ 从 $ A $ 点运动到 $ E $ 点,其中 $ A $ 、 $ {O}_{1} $ 、 $ B $ 、 $ {O}_{2} $ 、 $ D $ 在一条直线上, $ AB $ 、 $ BD $ 和 $ CE $ 是直径, $ {O}_{1} $ 和 $ {O}_{2} $ 是圆心,下列说法正确的是( )

A.当物体运动到 $ B $ 点时,位移大小和路程都是 $ 2R $
B.物体从 $ A $ 点运动到 $ C $ 点和从 $ A $ 点运动到 $ E $ 点位移相同
C.当物体运动到 $ E $ 点时,位移大小是 $ \sqrt{10}R $ ,路程是 $ \dfrac{5\mathrm{\pi }R}{2} $
D.当物体运动到 $ D $ 点时,位移大小和路程都是 $ 4R $
当物体运动到 $ B $ 点时,位移大小为 $ 2R $ ,轨迹长度为 $ \mathrm{\pi }R $ ,路程为 $ \mathrm{\pi }R $ ,故 $ \mathrm{A} $ 错误;物体从 $ A $ 点运动到 $ C $ 点和从 $ A $ 点运动到 $ E $ 点位移大小相同,但方向不同,故 $ \mathrm{B} $ 错误;当物体运动到 $ E $ 点时,位移大小是 $ A $ 点到 $ E $ 点的距离,为 $ \sqrt{{\left(3R\right) ^ {2}}+{R}^{2}}=\sqrt{10}R $ ,路程是轨迹长度,为 $ \mathrm{\pi }R+\dfrac{3}{4}×2\mathrm{\pi }R=\dfrac{5}{2}\mathrm{\pi }R $ ,故 $ \mathrm{C} $ 正确;当物体运动到 $ D $ 点时,位移大小为 $ 4R $ ,路程是轨迹长度,为 $ 2\mathrm{\pi }R $ ,故 $ \mathrm{D} $ 错误.
5.关于路程和位移,下列说法中正确的是( )
A.在曲线运动中物体的位移大小一定等于其路程
B.在直线运动中物体的位移大小可能大于其路程
C.在某段时间内物体运动的位移为零,该物体可能是运动的
D.物体在水平面上向正南方向运动了 $ 20\mathrm{m} $ ,又向正北方向运动了 $ 30\mathrm{m} $ ,物体的路程和位移相等,都是 $ 10\mathrm{m} $
位移大小是初位置指向末位置的有向线段的长度;路程是物体运动轨迹的长度,所以在曲线运动中物体的位移大小一定小于其路程,但若某段时间内物体沿直线向某一方向运动,则物体的位移大小一定等于其路程,若物体沿直线往返运动,则物体的位移大小一定小于其路程,故在直线运动中物体的位移大小小于或等于其路程,不可能大于路程,故 $ \mathrm{A} $ 、 $ \mathrm{B} $ 错误.在某段时间内物体运动的位移为零时该物体有可能在运动后返回起始位置,故 $ \mathrm{C} $ 正确.物体的路程 $ s=20\mathrm{m}+30\mathrm{m}=50\mathrm{m} $ ,以正北方向为正方向,物体的位移为 $ x=-20\mathrm{m}+30\mathrm{m}=10\mathrm{m} $ ,方向向北,而且路程是标量,位移是矢量,不能说路程和位移相等.故 $ \mathrm{D} $ 错误.
6.一质点在 $ x $ 轴上做直线运动,将它在连续第 $ n $ 秒末所对应的坐标记录在如下表格中,则质点在( )
$ t/\mathrm{s} $ | 0 | 1 | 2 | 3 | 4 | 5 |
$ x/\mathrm{m} $ | 0 | 5 | $ -4 $ | $ -3 $ | $ -8 $ | $ -2 $ |
A. $ 4\mathrm{s} $ 内的位移大小为 $ 20\mathrm{m} $
B.第 $ 2\mathrm{s} $ 内的位移大小为 $ 9\mathrm{m} $
C.前 $ 3\mathrm{s} $ 内的路程为 $ 15\mathrm{m} $
D. $ 5\mathrm{s} $ 内的位移为 $ 2\mathrm{m} $
根据位移的定义可知, $ 4\mathrm{s} $ 内质点的位移大小为 $ 8\mathrm{m} $ ,故 $ \mathrm{A} $ 错误;第 $ 2\mathrm{s} $ 内的位移大小为 $ |-4\mathrm{m}-5\mathrm{m}|=9\mathrm{m} $ ,故 $ \mathrm{B} $ 正确;由于只知道质点具体时刻的具体位置,故路程无法求解,故 $ \mathrm{C} $ 错误; $ 5\mathrm{s} $ 内质点的位移为 $ -2\mathrm{m}-0=-2\mathrm{m} $ ,故 $ \mathrm{D} $ 错误.