1.函数 $ f(x)=\dfrac{\sqrt{2-x}}{ \lg x} $ 的定义域为( )
A. $ (-\mathrm{\infty },2] $
B. $ (-\mathrm{\infty },0)\cup (0,2] $
C. $ (0,2] $
D. $ (0,1)\cup (1,2] $
由题意得 $ \begin{cases}2-x\geqslant 0,\\ \lg x\ne 0,\\ x > 0,\end{cases} $ 解得 $ 0 < x\leqslant 2 $ 且 $ x\ne 1 $ ,则函数 $ f(x) $ 的定义域为 $ (0,1)\cup (1,2] $ .故选 $ \mathrm{D} $ .
2.若 $ \lg 2=a $ , $ {10}^{b}=3 $ ,则 $ { \log }_{24}15= $ ( )
A. $ \dfrac{b-a}{2a+b} $
B. $ \dfrac{b+1-a}{2a+b} $
C. $ \dfrac{b+1-a}{3a+b} $
D. $ \dfrac{b-a}{3a+b} $
因为 $ {10}^{b}=3 $ ,所以 $ b= \lg 3 $ ,所以 $ { \log }_{24}15=\dfrac{ \lg 15}{ \lg 24}=\dfrac{ \lg 3+ \lg 5}{ \lg 8+ \lg 3}=\dfrac{ \lg 3+1- \lg 2}{3 \lg 2+ \lg 3}=\dfrac{b+1-a}{3a+b} $ .故选 $ \mathrm{C} $ .
3.函数 $ f(x)= \lg \left|x\right|-\left|{x}^{2}-2\right| $ 的零点个数为( )
A.2
B.3
C.4
D.5
本题转化为求函数 $ y= \lg \left|x\right| $ 和函数 $ y=\left|{x}^{2}-2\right| $ 图象的交点个数,作出两个函数的图象,如图所示.
根据图象可得,两个函数图象交点的个数为4,所以函数 $ f(x)= \lg \left|x\right|-\left|{x}^{2}-2\right| $ 的零点个数为4.故选 $ \mathrm{C} $ .

4.函数 $ f(x)=\dfrac{x}{{\mathrm{e}}^{x}+{\mathrm{e}}^{-x}} $ 的图象大致为( )
A.
B.
C.
D.
因为 $ f(x)=\dfrac{x}{{\mathrm{e}}^{x}+{\mathrm{e}}^{-x}} $ ,所以 $ f(x) $ 的定义域为 $ \boldsymbol{R} $ ,关于原点对称,
又因为 $ f(-x)=\dfrac{-x}{{\mathrm{e}}^{-x}+{\mathrm{e}}^{x}}=-\dfrac{x}{{\mathrm{e}}^{x}+{\mathrm{e}}^{-x}}=-f(x) $ ,
所以函数 $ f(x) $ 是奇函数,
所以 $ f(x) $ 的图象关于原点对称,故 $ \mathrm{B} $ 错误;
当 $ x > 0 $ 时,因为 $ {\mathrm{e}}^{x} > 0 $ , $ {\mathrm{e}}^{-x} > 0 $ ,所以 $ f(x)=\dfrac{x}{{\mathrm{e}}^{x}+{\mathrm{e}}^{-x}} > 0 $ ,故 $ \mathrm{C} $ 错误;
因为 $ f(1)=\dfrac{1}{\mathrm{e}+{\mathrm{e}}^{-1}} $ , $ f(2)=\dfrac{2}{{\mathrm{e}}^{2}+{\mathrm{e}}^{-2}}=\dfrac{1}{\dfrac{{\mathrm{e}}^{2}}{2}+\dfrac{{\mathrm{e}}^{-2}}{2}} $ ,
又 $ {\mathrm{e}}^{2}-2\mathrm{e}=\mathrm{e}(\mathrm{e}-2) > \dfrac{1}{2}×\mathrm{e} > 1 > \dfrac{2}{\mathrm{e}}=2{\mathrm{e}}^{-1} $ ,所以 $ \dfrac{{\mathrm{e}}^{2}}{2} > \mathrm{e}+{\mathrm{e}}^{-1} $ ,则 $ \dfrac{{\mathrm{e}}^{2}}{2}+\dfrac{{\mathrm{e}}^{-2}}{2} > \mathrm{e}+{\mathrm{e}}^{-1} $ ,
所以 $ f(1)-f(2)=\dfrac{1}{\mathrm{e}+{\mathrm{e}}^{-1}}-\dfrac{1}{\dfrac{{\mathrm{e}}^{2}}{2}+\dfrac{{\mathrm{e}}^{-2}}{2}} > 0 $ ,即 $ f(1) > f(2) $ ,所以 $ f(x) $ 在 $ (0,+\mathrm{\infty }) $ 上并不单调递增,故 $ \mathrm{D} $ 错误;
由于排除了选项 $ \mathrm{B}\mathrm{C}\mathrm{D} $ ,而且选项 $ \mathrm{A} $ 中的图象满足上述 $ f(x) $ 的性质,故 $ \mathrm{A} $ 正确.故选 $ \mathrm{A} $ .
5.酒驾是严重危害交通安全的违法行为.为了保障交通安全,根据国家有关规定: $ 100\mathrm{m}\mathrm{L} $ 血液中酒精含量达到 $ 20\sim 79\mathrm{m}\mathrm{g} $ 的驾驶员即为酒后驾车, $ 80\mathrm{m}\mathrm{g} $ 及以上认定为醉酒驾车.假设某驾驶员喝了一定量的酒后,其血液中酒精含量上升到 $ 100\mathrm{m}\mathrm{g}/100\mathrm{m}\mathrm{L} $ .如果在停止喝酒以后,他血液中酒精含量会以每小时 $ 30\mathrm{\%} $ 的速度减少,那么他能驾驶至少要经过的小时数为(参考数据: $ \lg 2\approx 0.30 $ , $ \lg 7\approx 0.85 $ )( )
A.1
B.3
C.5
D.7
设经过 $ x $ 小时才能驾驶,则 $ 100×(1-30\mathrm{\%})^{x} < 20 $ ,即 $ {0.7}^{x} < 0.2 $ .
又函数 $ y={0.7}^{x} $ 在定义域上单调递减, $ \therefore x > { \log }_{0.7}0.2=\dfrac{ \lg 0.2}{ \lg 0.7}=\dfrac{ \lg 2-1}{ \lg 7-1}\approx \dfrac{0.30-1}{0.85-1}\approx 4.67 $ , $ \therefore $ 他至少要经过5小时才能驾驶.故选 $ \mathrm{C} $ .
6.若 $ {2}^{ \ln a}+{5}^{- \ln b}\geqslant {2}^{ \ln b}+{5}^{- \ln a} $ ,则( )
A. $ a\leqslant b $
B. $ a\geqslant b $
C. $ ab\geqslant 1 $
D. $ ab\leqslant 1 $
$ \because {2}^{ \ln a}+{5}^{- \ln b}\geqslant {2}^{ \ln b}+{5}^{- \ln a} $ ,
$ \therefore {2}^{ \ln a}-{5}^{- \ln a}\geqslant {2}^{ \ln b}-{5}^{- \ln b} $ .
设 $ f(x)={2}^{x}-{5}^{-x} $ ,则原不等式等价于 $ f( \ln a)\geqslant f( \ln b) $ .
$ \because $ 函数 $ f(x)={2}^{x}-{5}^{-x} $ 在 $ \boldsymbol{R} $ 上单调递增, $ \therefore \ln a\geqslant \ln b $ ,
$ \therefore a\geqslant b > 0 $ ,故选 $ \mathrm{B} $ .
7.对 $ \forall x\in [1,+\mathrm{\infty }) $ ,不等式 $ [ ( \ln ax)^{2}-1 ] ({\mathrm{e}}^{x}-b )\geqslant 0 $ 恒成立,则( )
A.若 $ a\in (0,\dfrac{1}{\mathrm{e}}) $ ,则 $ b\leqslant \mathrm{e} $
B.若 $ a\in (0,\dfrac{1}{\mathrm{e}}) $ ,则 $ b > \mathrm{e} $
C.若 $ a\in [\dfrac{1}{\mathrm{e}},\mathrm{e}) $ ,则 $ {a}^{b}={\mathrm{e}}^{\mathrm{e}} $
D.若 $ a\in [\dfrac{1}{\mathrm{e}},\mathrm{e}) $ ,则 $ {b}^{a}={\mathrm{e}}^{\mathrm{e}} $
由 $ [ ( \ln ax)^{2}-1 ] ({\mathrm{e}}^{x}-b )\geqslant 0 $ 得 $ ( \ln ax-1)( \ln ax+1)({\mathrm{e}}^{x}-b)\geqslant 0 $ ,
对于选项 $ \mathrm{A} $ , $ \mathrm{B} $ ,若 $ a\in (0,\dfrac{1}{\mathrm{e}}) $ ,可令 $ a=\dfrac{1}{{\mathrm{e}}^{2}} $ ,不等式可化为 $ ( \ln x-3)( \ln x-1)({\mathrm{e}}^{x}-b)\geqslant 0 $ ,
当 $ x\in [{\mathrm{e}}^{3},+\mathrm{\infty }) $ 时, $ \ln x-3\geqslant 0 $ , $ \ln x-1 > 0 $ ,
要使 $ ( \ln x-3)( \ln x-1)({\mathrm{e}}^{x}-b)\geqslant 0 $ 恒成立,则需 $ {\mathrm{e}}^{x}-b\geqslant 0 $ ,即 $ b\leqslant {\mathrm{e}}^{x} $ 恒成立,
$ \therefore b\leqslant ({\mathrm{e}}^{x})_{ \min }={\mathrm{e}}^{{\mathrm{e}}^{3}} $ ,
当 $ x\in (\mathrm{e},{\mathrm{e}}^{3}) $ 时, $ \ln x-3 < 0 $ , $ \ln x-1 > 0 $ ,
要使 $ ( \ln x-3)( \ln x-1)({\mathrm{e}}^{x}-b)\geqslant 0 $ 恒成立,则需 $ {\mathrm{e}}^{x}-b\leqslant 0 $ ,即 $ b\geqslant {\mathrm{e}}^{x} $ 恒成立,
$ \therefore b\geqslant ({\mathrm{e}}^{x})_{ \max } $ ,
$ \therefore b\geqslant {\mathrm{e}}^{{\mathrm{e}}^{3}} $ ,
当 $ x\in [1,\mathrm{e}] $ 时, $ \ln x-3 < 0 $ , $ \ln x-1\leqslant 0 $ ,
要使 $ ( \ln x-3)( \ln x-1)({\mathrm{e}}^{x}-b)\geqslant 0 $ 恒成立,则需 $ {\mathrm{e}}^{x}-b\geqslant 0 $ ,即 $ b\leqslant {\mathrm{e}}^{x} $ 恒成立,
$ \therefore b\leqslant ({\mathrm{e}}^{x})_{ \min }=\mathrm{e} $ ,
综上可得,不存在 $ b $ 使得不等式 $ ( \ln x-3)( \ln x-1)({\mathrm{e}}^{x}-b)\geqslant 0 $ 恒成立,选项 $ \mathrm{A} $ , $ \mathrm{B} $ 错误.
对于选项 $ \mathrm{C} $ , $ \mathrm{D} $ ,若 $ a\in [\dfrac{1}{\mathrm{e}},\mathrm{e}) $ ,
$ \because x\in [1,+\mathrm{\infty }) $ ,
$ \therefore ax\geqslant \dfrac{1}{\mathrm{e}} $ ,
$ \therefore \ln ax+1\geqslant 0 $ ,
要使不等式 $ ( \ln ax-1)( \ln ax+1)({\mathrm{e}}^{x}-b)\geqslant 0 $ 恒成立,则需 $ ( \ln ax-1)({\mathrm{e}}^{x}-b)\geqslant 0 $ ,
$ \because $ 函数 $ y= \ln ax-1 $ , $ y={\mathrm{e}}^{x}-b $ 在 $ [1,+\mathrm{\infty }) $ 为增函数,
$ \therefore $ 函数 $ y= \ln ax-1 $ , $ y={\mathrm{e}}^{x}-b $ 有相同的零点,
由 $ \ln ax-1=0 $ 得 $ x=\dfrac{\mathrm{e}}{a} $ ,由 $ {\mathrm{e}}^{x}-b=0 $ 得 $ x= \ln b $ , $ \therefore \dfrac{\mathrm{e}}{a}= \ln b $ ,即 $ \mathrm{e}=a \ln b $ ,
$ \therefore \ln {\mathrm{e}}^{\mathrm{e}}= \ln {b}^{a} $ , $ \therefore {b}^{a}={\mathrm{e}}^{\mathrm{e}} $ ,选项 $ \mathrm{C} $ 错误, $ \mathrm{D} $ 正确.
故选 $ \mathrm{D} $ .
8.设函数 $ y=f(x) $ 和 $ y=f(-x) $ ,若两函数在区间 $ [m,n] $ 上的单调性相同,则把区间 $ [m,n] $ 叫做 $ y=f(x) $ 的“稳定区间”,已知区间 $ [1,2024] $ 为函数 $ y=|{\left(\dfrac{1}{2}\right) ^ {x}}+a| $ 的“稳定区间”,则实数 $ a $ 的取值范围为( )
A. $ [-{2}^{2024},-{\left(\dfrac{1}{2}\right) ^ {2024}}] $
B. $ [-{2}^{2024},-\dfrac{1}{2}] $
C. $ [-2,-\dfrac{1}{2}] $
D. $ [-2,-{\left(\dfrac{1}{2}\right) ^ {2024}}] $
函数 $ y={\left(\dfrac{1}{2}\right) ^ {x}} $ 在 $ \boldsymbol{R} $ 上单调递减,函数 $ y={2}^{x} $ 在 $ \boldsymbol{R} $ 上单调递增,
若区间 $ [1,2024] $ 为函数 $ y=|{\left(\dfrac{1}{2}\right) ^ {x}}+a| $ 的“稳定区间”,
则函数 $ y=f(x)=|{\left(\dfrac{1}{2}\right) ^ {x}}+a| $ 与函数 $ y=f(-x)=|{2}^{x}+a| $ 在区间 $ [1,2024] $ 上同增或者同减,
①若两函数在区间 $ [1,2024] $ 上单调递增,则 $ \begin{cases}{\left(\dfrac{1}{2}\right)}^{x}+a\leqslant 0,\\ {2}^{x}+a\geqslant 0\end{cases} $ 在区间 $ [1,2024] $ 上恒成立,
可得 $ \begin{cases}{\left(\dfrac{1}{2}\right)}^{1}+a\leqslant 0,\\ {2}^{1}+a\geqslant 0,\end{cases} $ 解得 $ -2\leqslant a\leqslant -\dfrac{1}{2} $ ;
②若两函数在区间 $ [1,2024] $ 上单调递减,则 $ \begin{cases}{\left(\dfrac{1}{2}\right)}^{x}+a\geqslant 0,\\ {2}^{x}+a\leqslant 0\end{cases} $ 在区间 $ [1,2024] $ 上恒成立,
即 $ \begin{cases}{\left(\dfrac{1}{2}\right)}^{2024}+a\geqslant 0,\\ {2}^{2024}+a\leqslant 0,\end{cases} $ 不等式组无解;
综上所述, $ a\in [-2,-\dfrac{1}{2}] $ .
故选 $ \mathrm{C} $ .
9.已知正数 $ x $ , $ y $ , $ z $ 满足 $ {3}^{x}={4}^{y}={12}^{z} $ ,则( )(多选)
A. $ \dfrac{1}{x}+\dfrac{1}{y}=\dfrac{1}{z} $
B. $ 6z < 3x < 4y $
C. $ xy < 4{z}^{2} $
D. $ x+y > 4z $
设 $ {3}^{x}={4}^{y}={12}^{z}=t $ , $ t > 1 $ ,则 $ x={ \log }_{3}t $ , $ y={ \log }_{4}t $ , $ z={ \log }_{12}t $ ,
所以 $ \dfrac{1}{x}+\dfrac{1}{y}=\dfrac{1}{{ \log }_{3}t}+\dfrac{1}{{ \log }_{4}t}={ \log }_{t}3+{ \log }_{t}4={ \log }_{t}12=\dfrac{1}{z} $ , $ \mathrm{A} $ 正确.
因为 $ \dfrac{6z}{3x}=\dfrac{2{ \log }_{12}t}{{ \log }_{3}t}=\dfrac{2{ \log }_{t}3}{{ \log }_{t}12}={ \log }_{12}9 < 1 $ ,所以 $ 6z < 3x $ .
因为 $ \dfrac{3x}{4y}=\dfrac{3{ \log }_{3}t}{4{ \log }_{4}t}=\dfrac{3{ \log }_{t}4}{4{ \log }_{t}3}=\dfrac{{ \log }_{t}64}{{ \log }_{t}81}={ \log }_{81}64 < 1 $ ,所以 $ 3x < 4y $ ,所以 $ 6z < 3x < 4y $ , $ \mathrm{B} $ 正确.
因为 $ x+y-4z={ \log }_{3}t+{ \log }_{4}t-4{ \log }_{12}t=\dfrac{1}{{ \log }_{t}3}+\dfrac{1}{{ \log }_{t}4}-\dfrac{4}{{ \log }_{t}12}=\dfrac{{ \log }_{t}3+{ \log }_{t}4}{{ \log }_{t}3{ \log }_{t}4}-\dfrac{4}{{ \log }_{t}3+{ \log }_{t}4}=\dfrac{ ({ \log }_{t}3-{ \log }_{t}4)^{2}}{{ \log }_{t}3{ \log }_{t}4 ({ \log }_{t}3+{ \log }_{t}4 )} > 0 $ ,所以 $ x+y > 4z $ , $ \mathrm{D} $ 正确.
因为 $ \dfrac{1}{z}=\dfrac{1}{x}+\dfrac{1}{y}=\dfrac{x+y}{xy} $ ,所以 $ \dfrac{xy}{z}=x+y > 4z $ ,所以 $ xy > 4{z}^{2} $ , $ \mathrm{C} $ 错误.故选 $ \mathrm{A}\mathrm{B}\mathrm{D} $ .
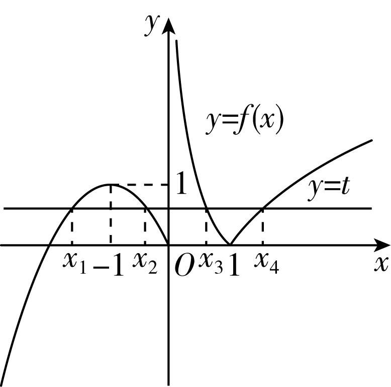
10.已知函数 $ f(x)=\begin{cases}-{x}^{2}-2x,x\leqslant 0,\\ \mid { \log }_{2}x\mid ,x > 0,\end{cases} $ 若 $ f({x}_{1})=f({x}_{2})=f({x}_{3})=f({x}_{4}) $ ,且 $ {x}_{1} < {x}_{2} < {x}_{3} < {x}_{4} $ ,则下列结论正确的是( )(多选)
A. $ {x}_{1}+{x}_{2}=2 $
B. $ {x}_{3}{x}_{4}=1 $
C. $ 0 < {x}_{1}+{x}_{2}+{x}_{3}+{x}_{4} < \dfrac{1}{2} $
D. $ 0 < {x}_{1}{x}_{2}{x}_{3}{x}_{4} < 1 $
由函数 $ f(x) $ 解析式可作出 $ f(x) $ 的大致图象如图所示:

由图知 $ {x}_{1}+{x}_{2}=-2 $ , $ \mathrm{A} $ 错误;
由 $ f({x}_{3})=f({x}_{4}) $ 知 $ |{ \log }_{2}{x}_{3}|=|{ \log }_{2}{x}_{4}| $ ,即 $ { \log }_{2}{x}_{3}+{ \log }_{2}{x}_{4}={ \log }_{2}{x}_{3}{x}_{4}=0 $ ,
$ \therefore {x}_{3}{x}_{4}=1 $ , $ \mathrm{B} $ 正确;
$ \therefore {x}_{4}=\dfrac{1}{{x}_{3}} $ ,而当 $ y=1 $ 时,有 $ |{ \log }_{2}x|=1 $ ,即 $ x=\dfrac{1}{2} $ 或 $ {\rm 2,} \therefore \dfrac{1}{2} < {x}_{3} < 1 < {x}_{4} < 2 $ , $ y=x+\dfrac{1}{x} $ 在 $ x\in (\dfrac{1}{2},1) $ 上单调递减,
可得 $ 2 < {x}_{3}+{x}_{4}={x}_{3}+\dfrac{1}{{x}_{3}} < \dfrac{5}{2} $ ,
即 $ 0 < {x}_{3}+{x}_{4}+{x}_{1}+{x}_{2}=-2+{x}_{3}+{x}_{4} < \dfrac{1}{2} $ , $ \mathrm{C} $ 正确;
$ \because {x}_{1}\in (-2,-1) $ , $ \therefore {x}_{1}{x}_{2}{x}_{3}{x}_{4}={x}_{1}{x}_{2}={x}_{1}(-2-{x}_{1})=-{\left({x}_{1}+1\right) ^ {2}}+1\in (0,1) $ , $ \mathrm{D} $ 正确.故选 $ \mathrm{B}\mathrm{C}\mathrm{D} $ .
11.已知函数 $ f(x)=\begin{cases}{\mathrm{e}}^{x}-1,x\geqslant m,\\ -{x}^{2}-4x-4,x < m\end{cases} $ ( $ m\in \boldsymbol{R} $ , $ \mathrm{e} $ 为自然对数的底数),则( )(多选)
A.函数 $ f(x) $ 至多有2个零点
B.当 $ m < -3 $ 时, $ \forall {x}_{1}\ne {x}_{2} $ ,总有 $ \dfrac{f({x}_{1})-f({x}_{2})}{{x}_{1}-{x}_{2}} > 0 $ 成立
C.函数 $ f(x) $ 至少有1个零点
D.当 $ m=0 $ 时,方程 $ f(f(x))=0 $ 有3个不同实数根
对于 $ \mathrm{A} $ 选项,令 $ {\mathrm{e}}^{x}-1=0 $ ,可得 $ x=0 $ ,令 $ -{x}^{2}-4x-4=0 $ ,得 $ {x}^{2}+4x+4=0 $ ,可得 $ x=-2 $ ,
故当 $ -2 < m\leqslant 0 $ 时,函数 $ f(x) $ 有2个零点,所以函数 $ f(x) $ 至多有2个零点, $ \mathrm{A} $ 正确.
对于 $ \mathrm{B} $ 选项,当 $ m < -3 $ 时,函数 $ y={\mathrm{e}}^{x}-1 $ 在 $ [m,+\mathrm{\infty }) $ 上单调递增,
函数 $ y=-{x}^{2}-4x-4 $ 在 $ (-\mathrm{\infty },m) $ 上单调递增,且 $ -{\left(m+2\right) ^ {2}} < -1 < {\mathrm{e}}^{m}-1 $ ,
所以当 $ m < -3 $ 时,函数 $ f(x) $ 在 $ \boldsymbol{R} $ 上为增函数,
故当 $ m < -3 $ 时, $ \forall {x}_{1}\ne {x}_{2} $ ,不妨设 $ {x}_{1} < {x}_{2} $ ,则 $ f({x}_{1}) < f({x}_{2}) $ ,则 $ \dfrac{f({x}_{1})-f({x}_{2})}{{x}_{1}-{x}_{2}} > 0 $ , $ \mathrm{B} $ 正确.
对于 $ \mathrm{C} $ 选项,当 $ m\leqslant -2 $ 时,函数 $ f(x) $ 在 $ (-\mathrm{\infty },m) $ 上无零点,在 $ [m,+\mathrm{\infty }) $ 上有唯一零点0;
当 $ -2 < m\leqslant 0 $ 时,函数 $ f(x) $ 有两个零点;
当 $ m > 0 $ 时,函数 $ f(x) $ 在 $ (-\mathrm{\infty },m) $ 上有唯一零点 $ -2 $ ,在 $ [m,+\mathrm{\infty }) $ 上无零点.
综上所述,函数 $ f(x) $ 至少有一个零点, $ \mathrm{C} $ 正确.
对于 $ \mathrm{D} $ 选项,当 $ m=0 $ 时, $ f(x)=\begin{cases}{\mathrm{e}}^{x}-1,x\geqslant 0,\\ -{x}^{2}-4x-4,x < 0,\end{cases} $
令 $ u=f(x) $ ,则方程 $ f(f(x))=0 $ 为 $ f(u)=0 $ .
当 $ u < 0 $ 时,由 $ f(u)=0 $ 可得 $ -{\left(u+2\right) ^ {2}}=0 $ ,解得 $ u=-2 $ ;
当 $ u\geqslant 0 $ 时,由 $ f(u)=0 $ 可得 $ {\mathrm{e}}^{u}-1=0 $ ,解得 $ u=0 $ .
当 $ x < 0 $ 时,由 $ u=-2 $ 可得 $ -{x}^{2}-4x-4=-2 $ ,即 $ {x}^{2}+4x+2=0 $ ,解得 $ x=-2±\sqrt{2} $ ,
由 $ u=0 $ 可得 $ -{x}^{2}-4x-4=0 $ ,即 $ (x+2)^{2}=0 $ ,解得 $ x=-2 $ ;
当 $ x\geqslant 0 $ 时,由 $ u=-2 $ 可得 $ {\mathrm{e}}^{x}-1=-2 $ ,即 $ {\mathrm{e}}^{x}=-1 $ ,该方程无解,
由 $ u=0 $ 可得 $ {\mathrm{e}}^{x}-1=0 $ ,解得 $ x=0 $ .
综上所述,方程 $ f(f(x))=0 $ 的解集为 $ {-2-\sqrt{2} $ , $ -2+\sqrt{2} $ , $ -2 $ , $ 0} $ ,
所以当 $ m=0 $ 时,方程 $ f(f(x))=0 $ 有4个不同实数根, $ \mathrm{D} $ 不正确.故选 $ \mathrm{A}\mathrm{B}\mathrm{C} $ .
12.已知函数 $ f(x)=g(x)+\dfrac{{\mathrm{e}}^{x}}{{\mathrm{e}}^{2x}-1} $ ,任意给定一个非零常数 $ t $ ,均有 $ f(t)+f(-t)=0 $ ,试写出一个满足条件的解析式 $ g(x)= $ .
$ \dfrac{1}{x} $ (答案不唯一)
设 $ ℎ(x)=\dfrac{{\mathrm{e}}^{x}}{{\mathrm{e}}^{2x}-1} $ ,则 $ ℎ(-x)=\dfrac{{\mathrm{e}}^{-x}}{{\mathrm{e}}^{-2x}-1}=-\dfrac{{\mathrm{e}}^{x}}{{\mathrm{e}}^{2x}-1}=-ℎ(x) $ ,所以 $ ℎ(x) $ 为奇函数,
即 $ ℎ(x)+ℎ(-x)=0 $ .
所以由 $ f(t)+f(-t)=0 $ ,得 $ g(x)+g(-x)+ℎ(x)+ℎ(-x)=0 $ ,
所以 $ g(x)+g(-x)=0 $ ,所以 $ g(x) $ 应为一个奇函数,
故 $ g(x)=\dfrac{1}{x} $ ,且答案不唯一.
13.已知函数 $ f (x )={a}^{x-2}-4 (a > 0 $ ,且 $ a\ne 1) $ 的图象恒过点 $ A(m,n) $ ,则函数 $ g(x)={ \log }_{2}({x}^{2}-mx+n) $ 的单调递减区间为 .
$ (-\mathrm{\infty },-1) $
当 $ x=2 $ 时, $ f(2)=-3 $ ,
所以 $ f(x) $ 的图象过定点 $ (2,-3) $ ,
即 $ m=2 $ , $ n=-3 $ ,
所以 $ g(x)={ \log }_{2}({x}^{2}-2x-3) $ ,
令 $ {x}^{2}-2x-3 > 0 $ ,解得 $ x < -1 $ 或 $ x > 3 $ ,
函数 $ \mu ={x}^{2}-2x-3 $ 在 $ (-\mathrm{\infty },-1) $ 上单调递减,在 $ (3,+\mathrm{\infty }) $ 上单调递增,
又 $ y={ \log }_{2}\mu $ 在 $ (0,+\mathrm{\infty }) $ 上单调递增,
所以 $ g(x)={ \log }_{2}({x}^{2}-2x-3) $ 在 $ (-\mathrm{\infty },-1) $ 上单调递减,
即 $ g(x) $ 的单调递减区间为 $ (-\mathrm{\infty },-1) $ .
14.如图,矩形 $ ABCD $ 的三个顶点 $ A $ , $ B $ , $ C $ 分别在函数 $ y={ \log }_{\frac{\sqrt{2}}{2}}x $ , $ y={x}^{\frac{1}{2}} $ , $ y={\left(\dfrac{\sqrt{2}}{2}\right) ^ {x}} $ 的图象上,且矩形的边分别平行于两坐标轴.若点 $ A $ 的纵坐标为2,则点 $ D $ 的坐标为 .

$ (\dfrac{1}{2},\dfrac{1}{4}) $
由题中图象可知,点 $ A({x}_{A},2) $ 在函数 $ y={ \log }_{\frac{\sqrt{2}}{2}}x $ 的图象上,所以 $ 2={ \log }_{\frac{\sqrt{2}}{2}}{x}_{A} $ ,即 $ {x}_{A}={\left(\dfrac{\sqrt{2}}{2}\right) ^ {2}}=\dfrac{1}{2} $ .
因为点 $ B({x}_{B},2) $ 在函数 $ y={x}^{\frac{1}{2}} $ 的图象上,所以 $ {x}_{B}=4 $ .
因为点 $ C(4,{y}_{C}) $ 在函数 $ y={\left(\dfrac{\sqrt{2}}{2}\right) ^ {x}} $ 的图象上,所以 $ {y}_{C}={\left(\dfrac{\sqrt{2}}{2}\right) ^ {4}}=\dfrac{1}{4} $ .
又因为 $ {x}_{D}={x}_{A}=\dfrac{1}{2} $ , $ {y}_{D}={y}_{C}=\dfrac{1}{4} $ ,所以点 $ D $ 的坐标为 $ (\dfrac{1}{2},\dfrac{1}{4}) $ .
15.(1) 计算: $ \dfrac{1}{3}×{8}^{\frac{2}{3}}+{(\dfrac{27}{125})}^{-\frac{1}{3}}+{\left(-6\right) ^ {0}}+\sqrt{{\left(2-\sqrt{5}\right) ^ {2}}} $ ;
(2) 已知 $ a={ \log }_{3}2 $ , $ b={ \log }_{\sqrt{2}}9 $ ,求 $ ({a}^{\frac{1}{3}}{b}^{-\frac{1}{4}})^{2}÷ (-2{a}^{-\frac{1}{3}}{b}^{-\frac{3}{2}} ) $ 的值.
(1) 【解】 $ \dfrac{1}{3}×{8}^{\frac{2}{3}}+{ (\dfrac{27}{125} )}^{-\frac{1}{3}}+{\left(-6 \right) ^ {0}}+\sqrt{{\left(2-\sqrt{5} \right) ^ {2}}}=\dfrac{1}{3}× ({2}^{3})^{\frac{2}{3}}+{ [{\left(\dfrac{3}{5} \right) ^ {3}} ]}^{-\frac{1}{3}}+1+|2-\sqrt{5}| $
$ =\dfrac{1}{3}×{2}^{2}+{\left(\dfrac{3}{5}\right) ^ {-1}}+1+\sqrt{5}-2=\dfrac{4}{3}+\dfrac{5}{3}+1+\sqrt{5}-2=2+\sqrt{5} $ .
(2) 【解】因为 $ a={ \log }_{3}2 $ , $ b={ \log }_{\sqrt{2}}9 $ ,
所以 $ ({a}^{\frac{1}{3}}{b}^{-\frac{1}{4}})^{2}÷ (-2{a}^{-\frac{1}{3}}{b}^{-\frac{3}{2}} )= (-\dfrac{1}{2} )×{a}^{\frac{2}{3}- (-\frac{1}{3} )}×{b}^{-\frac{1}{2}- (-\frac{3}{2} )}= (-\dfrac{1}{2} )×a×b= (-\dfrac{1}{2} )×{ \log }_{3}2×{ \log }_{\sqrt{2}}9= (-\dfrac{1}{2} )×\dfrac{ \lg 2}{ \lg 3}×\dfrac{ \lg 9}{ \lg \sqrt{2}}= (-\dfrac{1}{2} )×\dfrac{ \lg 2}{ \lg 3}×\dfrac{2 \lg 3}{\dfrac{1}{2} \lg 2}=-2 $ .
16.已知指数函数 $ f (x )={a}^{x} (a > 0 $ 且 $ a\ne 1) $ 的图象经过点 $ (-3,27) $ .
(1)求 $ a $ 及 $ f(-1) $ 的值;
(2)若 $ f(x-1) > f(-x) $ ,求 $ x $ 的取值范围.
见解析
(1) $ \because $ 指数函数 $ f (x )={a}^{x} (a > 0 $ 且 $ a\ne 1) $ 的图象经过点 $ (-3,27) $ , $ \text{ }\therefore {a}^{-3}=27 $ , $ \therefore a=\dfrac{1}{3} $ , $ \therefore f(x)={\left(\dfrac{1}{3}\right) ^ {x}} $ .
$ \therefore f(-1)={\left(\dfrac{1}{3}\right) ^ {-1}}=3 $ .
(2) $ \because $ 函数 $ f(x)={\left(\dfrac{1}{3}\right) ^ {x}} $ 在 $ \boldsymbol{R} $ 上单调递减, $ \therefore $ 不等式等价于 $ x-1 < -x $ ,解得 $ x < \dfrac{1}{2} $ ,即 $ x $ 的取值范围为 $ (-\mathrm{\infty },\dfrac{1}{2}) $ .
17.某校为了鼓励学生利用业余时间阅读名著,预备制定一个每日阅读考核评分制度,建立一个每日得分 $ y $ (单位:分)与当日阅读时间 $ x $ (单位:分钟)的函数关系.要求如下:
(ⅰ)函数的部分图象接近图示;
(ⅱ)每日阅读时间为0分钟时,当日得分为0分;
(ⅲ)每日阅读时间为30分钟时,当日得分为3分;
(ⅳ)每日阅读最多得分不超过6分.
现有以下三个函数模型供选择:
$ \mathrm{①}y=kx+m(k > 0) $ ;
$ \mathrm{②}y=k\cdot {1.1}^{x}+m(k > 0) $ ;
$ \mathrm{③}y=k{ \log }_{2}(\dfrac{x}{15}+2)+m(k > 0) $ .

(1) 请你根据函数图象性质,从中选择一个合适的函数模型,不需要说明理由.
(2) 根据你对(1)的判断以及所给信息,写出合适函数模型的解析式.
(3) 若该校要求每日的得分不少于5分,问每日至少阅读名著多少分钟?(结果精确到整数)
注: $ {2}^{\frac{8}{3}}\approx 6.35 $ .
(1) 【解】根据题意可得应选择增长速度为先快后慢的增长模型,
所以选对数函数模型,故选 $ y=k{ \log }_{2}(\dfrac{x}{15}+2)+m(k > 0) $ .
(2) 【解】由题意及(1)可知点 $ (0,0) $ , $ (30,3) $ 在 $ y=k{ \log }_{2}(\dfrac{x}{15}+2)+m $ 的图象上,
所以 $ \begin{cases}k+m=0,\\ 2k+m=3,\end{cases} $ 解得 $ k=3 $ , $ m=-3 $ ,
所以 $ y=3{ \log }_{2}(\dfrac{x}{15}+2)-3 $ ,
令 $ y=6 $ ,可得 $ 3{ \log }_{2}(\dfrac{x}{15}+2)-3=6 $ ,解得 $ x=90 $ ,
所以函数模型的解析式为
$ y=\begin{cases}3{ \log }_{2}\left(\dfrac{x}{15}+2\right)-3,0\leqslant x\leqslant 90,\\ 6,x > 90.\end{cases} $
(3) 【解】令 $ y=3{ \log }_{2}(\dfrac{x}{15}+2)-3\geqslant 5 $ ,可得 $ { \log }_{2}(\dfrac{x}{15}+2)\geqslant \dfrac{8}{3} $ ,
即 $ \dfrac{x}{15}+2\geqslant {2}^{\frac{8}{3}}\approx 6.35 $ ,解得 $ x\geqslant 66 $ ,
所以每日的得分不少于5分,至少需要阅读66分钟.
18.已知函数 $ f (x )={a}^{x} (a > 0 $ ,且 $ a\ne 1) $ 的图象过点 $ (1,\dfrac{1}{2}) $ .
(1) 求函数 $ f(x) $ 的解析式;
(2) 若函数 $ ℎ(x) $ 为 $ f(x) $ 的反函数,且 $ ℎ({x}^{2}-bx-1) $ 在 $ (1,5) $ 上单调递减,求 $ b $ 的取值范围;
(3) 若函数 $ f(x)=g(x)+m(x) $ ,其中 $ g(x) $ 为奇函数, $ m(x) $ 为偶函数,已知函数 $ w(x)=|x| $ ,对于任意 $ {x}_{1}\in [\dfrac{1}{2},1] $ ,都存在 $ {x}_{2}\in \boldsymbol{R} $ ,使得等式 $ 2cg({x}_{1})+m(2{x}_{1})=w({x}_{2}) $ 成立,求实数 $ c $ 的取值范围.
(1) 【解】由函数 $ f(x)={a}^{x} $ 的图象过点 $ (1,\dfrac{1}{2}) $ ,可得 $ f(1)={a}^{1}=\dfrac{1}{2} $ ,解得 $ a=\dfrac{1}{2} $ ,
故函数 $ f(x) $ 的解析式为 $ f(x)={\left(\dfrac{1}{2}\right) ^ {x}} $ .
(2) 【解】因为函数 $ ℎ(x) $ 为 $ f(x) $ 的反函数,所以 $ ℎ(x)={ \log }_{\frac{1}{2}}x $ ,
易知 $ ℎ(x) $ 在 $ (0,+\mathrm{\infty }) $ 上单调递减,
又 $ ℎ({x}^{2}-bx-1) $ 在 $ (1,5) $ 上单调递减,所以函数 $ y={x}^{2}-bx-1 $ 在 $ (1,5) $ 上单调递增,且 $ {x}^{2}-bx-1 > 0 $ 在 $ (1,5) $ 上恒成立,
因此 $ \begin{cases}\dfrac{b}{2}\leqslant 1,\\ {1}^{2}-b-1\geqslant 0,\end{cases} $ 解得 $ b\leqslant 0 $ ,
所以 $ b $ 的取值范围为 $ (-\mathrm{\infty },0] $ .
(3) 【解】因为 $ f(x)=g(x)+m(x)={\left(\dfrac{1}{2}\right) ^ {x}}={2}^{-x} $ ,所以 $ f(-x)=g(-x)+m(-x)={2}^{x}. $
由 $ g(x) $ 为奇函数, $ m(x) $ 为偶函数可知 $ -g(x)+m(x)={2}^{x} $ ,
可得 $ g(x)=\dfrac{{2}^{-x}-{2}^{x}}{2} $ , $ m(x)=\dfrac{{2}^{-x}+{2}^{x}}{2} $ .
又 $ w(x)=|x| $ ,对于任意 $ {x}_{2}\in \boldsymbol{R} $ 都有 $ \omega ({x}_{2})\geqslant 0 $ ,
因为对于任意 $ {x}_{1}\in [\dfrac{1}{2},1] $ ,都存在 $ {x}_{2}\in \boldsymbol{R} $ ,使得等式 $ 2cg({x}_{1})+m(2{x}_{1})=w({x}_{2}) $ 成立,
所以 $ 2cg({x}_{1})+m(2{x}_{1})\geqslant 0 $ 在 $ {x}_{1}\in [\dfrac{1}{2},1] $ 上恒成立,
因为 $ y={2}^{-x} $ 在 $ [\dfrac{1}{2},1] $ 上单调递减, $ y={2}^{x} $ 在 $ [\dfrac{1}{2},1] $ 上单调递增,
即 $ g(x)=\dfrac{{2}^{-x}-{2}^{x}}{2} $ 在 $ [\dfrac{1}{2},1] $ 上单调递减,
所以 $ g ({x}_{1} )\in [-\dfrac{3}{4} $ , $ -\dfrac{\sqrt{2}}{4} ] $ .
令 $ g (x )=\dfrac{{2}^{-x}-{2}^{x}}{2}=t\in [-\dfrac{3}{4} $ , $ -\dfrac{\sqrt{2}}{4} ] $ ,
则 $ m(2x)=\dfrac{{2}^{-2x}+{2}^{2x}}{2}=\dfrac{{\left({2}^{-x}-{2}^{x}\right) ^ {2}}+2}{2}=\dfrac{{\left(2t\right) ^ {2}}+2}{2}=2{t}^{2}+1 $ .
则 $ 2cg({x}_{1})+m(2{x}_{1})\geqslant 0 $ 在 $ {x}_{1}\in [\dfrac{1}{2},1] $ 上恒成立等价于 $ 2ct+2{t}^{2}+1\geqslant 0 $ 在 $ t\in [-\dfrac{3}{4} $ , $ -\dfrac{\sqrt{2}}{4} ] $ 上恒成立,
可得 $ c\leqslant -\dfrac{2{t}^{2}+1}{2t} $ ,因此 $ c\leqslant {(-\dfrac{2{t}^{2}+1}{2t})}_{ \min } $ .
又 $ -\dfrac{2{t}^{2}+1}{2t}=-(t+\dfrac{1}{2t})=-t+\dfrac{1}{-2t}\geqslant 2\sqrt{(-t)\cdot (\dfrac{1}{-2t})}=\sqrt{2} $ ,
当且仅当 $ t=\dfrac{1}{2t} $ ,即 $ t=-\dfrac{\sqrt{2}}{2} $ 时,等号成立,
即 $ c\leqslant {(-\dfrac{2{t}^{2}+1}{2t})}_{ \min }=\sqrt{2} $ ,
因此实数 $ c $ 的取值范围为 $ (-\mathrm{\infty },\sqrt{2}] $ .
19.已知函数 $ f (x )={a}^{x}-q\cdot {a}^{-x} (a > 0 $ 且 $ a\ne 1) $ 是定义域为 $ \boldsymbol{R} $ 的奇函数,且 $ f(1)=\dfrac{3}{2} $ .
(1) 求 $ q $ 的值,并判断和证明 $ f(x) $ 的单调性.
(2) 是否存在实数 $ m(m > 2 $ 且 $ m\ne 3) $ ,使函数 $ g(x)={ \log }_{(m-2)}[{a}^{2x}+{a}^{-2x}-mf(x)+1] $ 在 $ [1,2] $ 上的最大值为0,如果存在,求出实数 $ m $ 所有的值;如果不存在,请说明理由.
(1) 【解】 $ \because $ 函数 $ f (x )={a}^{x}-q\cdot {a}^{-x} (a > 0 $ 且 $ a\ne 1) $ 是定义域为 $ \boldsymbol{R} $ 的奇函数, $ x\in \boldsymbol{R} $ ,
$ \therefore f(0)=0 $ ,即 $ 1-q=0 $ ,解得 $ q=1 $ ,
代入函数 $ f(x) $ ,则有 $ f(-x)=-f(x) $ ,
$ \therefore q=1 $ ,
$ \because f(1)=\dfrac{3}{2} $ , $ \therefore a-\dfrac{1}{a}=\dfrac{3}{2} $ ,即 $ 2{a}^{2}-3a-2=0 $ ,解得 $ a=2 $ 或 $ a=-\dfrac{1}{2} $ ,
$ \because a > 0 $ , $ \therefore a=2 $ , $ f(x)={2}^{x}-{2}^{-x} $ .
$ f(x) $ 在 $ \boldsymbol{R} $ 上单调递增,证明如下:
任取实数 $ {x}_{1} $ , $ {x}_{2} $ ,且 $ {x}_{1} < {x}_{2} $ ,则 $ f({x}_{1})-f({x}_{2})={2}^{{x}_{1}}-{2}^{-{x}_{1}}-({2}^{{x}_{2}}-{2}^{-{x}_{2}})=({2}^{{x}_{1}}-{2}^{{x}_{2}})(1+\dfrac{1}{{2}^{{x}_{1}+{x}_{2}}}) $ ,
$ \because {x}_{1} < {x}_{2} $ , $ \therefore {2}^{{x}_{1}} < {2}^{{x}_{2}} $ ,又 $ {2}^{{x}_{1}+{x}_{2}} > 0 $ ,
$ \therefore f({x}_{1}) < f({x}_{2}) $ , $ \therefore f(x) $ 在 $ \boldsymbol{R} $ 上单调递增.
(2) 【解】 $ g(x)={ \log }_{(m-2)}[{a}^{2x}+{a}^{-2x}-mf(x)+1] $
$ ={ \log }_{(m-2)}[{2}^{2x}+{2}^{-2x}-m({2}^{x}-{2}^{-x})+1] $
$ ={ \log }_{(m-2)}[{\left({2}^{x}-{2}^{-x}\right) ^ {2}}-m({2}^{x}-{2}^{-x})+3] $ ,
设 $ t={2}^{x}-{2}^{-x} $ ,则 $ {\left({2}^{x}-{2}^{-x}\right) ^ {2}}-m({2}^{x}-{2}^{-x})+3={t}^{2}-mt+3 $ ,
$ \because x\in [1,2] $ , $ \therefore t\in [\dfrac{3}{2},\dfrac{15}{4}] $ ,记 $ ℎ(t)={t}^{2}-mt+3 $ ,
当 $ 0 < m-2 < 1 $ ,即 $ 2 < m < 3 $ 时,要使 $ g(x) $ 的最大值为0,则要 $ ℎ(t)_{ \min }=1 $ ,
$ \because ℎ(t)={\left(t-\dfrac{m}{2}\right) ^ {2}}+(3-\dfrac{{m}^{2}}{4}) $ , $ 1 < \dfrac{m}{2} < \dfrac{3}{2} $ , $ t\in [\dfrac{3}{2},\dfrac{15}{4}] $ ,
$ \therefore ℎ(t) $ 在 $ [\dfrac{3}{2},\dfrac{15}{4}] $ 上单调递增,
$ \therefore ℎ (t)_{ \min }=ℎ (\dfrac{3}{2} )=\dfrac{21}{4}-\dfrac{3}{2}m $ ,
由 $ ℎ(t)_{ \min }=1 $ ,得 $ m=\dfrac{17}{6} $ ,
$ \because \dfrac{17}{6}\in (2,3) $ , $ \therefore m=\dfrac{17}{6} $ 满足题意.
当 $ m-2 > 1 $ ,即 $ m > 3 $ 时,要使 $ g(x) $ 的最大值为0,则要 $ ℎ(t)_{ \max }=1 $ ,且 $ ℎ(t)_{ \min } > 0 $ ,
由 $ m > 3 $ 得 $ \dfrac{m}{2} > \dfrac{3}{2} $ ,
①若 $ \dfrac{3}{2} < \dfrac{m}{2}\leqslant \dfrac{21}{8} $ ,则 $ ℎ (t)_{ \max }=ℎ (\dfrac{15}{4} )=\dfrac{225}{16}-\dfrac{15}{4}m+3=1 $ ,解得 $ m=\dfrac{257}{60} $ ,
由 $ ℎ (t)_{ \min }=ℎ (\dfrac{m}{2} )=3-\dfrac{{m}^{2}}{4} > 0 $ ,
得 $ 3 < m < 2\sqrt{3} $ ,由于 $ \dfrac{257}{60} > 2\sqrt{3} $ , $ \therefore m=\dfrac{257}{60} $ 不合题意;
②若 $ \dfrac{m}{2} > \dfrac{21}{8} $ ,即 $ m > \dfrac{21}{4} $ ,
则 $ ℎ (t)_{ \max }=ℎ (\dfrac{3}{2} )=\dfrac{21}{4}-\dfrac{3}{2}m < \dfrac{21}{4}-\dfrac{3}{2}×\dfrac{21}{4}=-\dfrac{21}{8} < 0 $ , $ ℎ(t)_{ \max }\ne 1 $ ,不合题意.
综上所述,只存在 $ m=\dfrac{17}{6} $ 满足题意.