1.乙醇分子中的各种化学键如图所示,关于乙醇在各种反应中断裂键的说法不正确的是( )

A. 和金属钠反应时键①断裂
B. 在空气中完全燃烧时键③④⑤会断裂
C. 两分子乙醇和浓硫酸共热到 $ 140℃ $ 脱1分子水时仅有键②断裂
D. 在 $ {\rm \mathrm{A}\mathrm{g}} $ 催化下与 $ {\rm {\mathrm{O}}_{2}} $ 反应时键①和③断裂
乙醇和金属钠反应时键①断裂生成乙醇钠, $ {\rm \mathrm{A}} $ 正确;乙醇在空气中完全燃烧时,所有 $ {\rm \mathrm{C}—\mathrm{C}} $ 和 $ {\rm \mathrm{C}—\mathrm{H}} $ 全部断裂, $ {\rm \mathrm{B}} $ 正确;两分子乙醇和浓硫酸共热到 $ 140℃ $ 脱1分子水时,一分子乙醇键①断裂,另一分子乙醇键②断裂, $ {\rm \mathrm{C}} $ 错误;在 $ {\rm \mathrm{A}\mathrm{g}} $ 催化加热下乙醇与 $ {\rm {\mathrm{O}}_{2}} $ 反应时,键①和③断裂生成乙醛, $ {\rm \mathrm{D}} $ 正确。
2.下列除去杂质的方法正确的是( )
①除去乙烷中少量的乙烯:把混合气体通入酸性 $ {\rm {\mathrm{K}\mathrm{M}\mathrm{n}\mathrm{O}}_{4}} $ 溶液中洗气,干燥 ②除去乙酸乙酯中少量的乙酸:用饱和碳酸钠溶液洗涤,分液③除去 $ {\rm {\mathrm{C}\mathrm{O}}_{2}} $ 中少量的 $ {\rm {\mathrm{S}\mathrm{O}}_{2}:} $ 通过盛有饱和碳酸钠溶液的洗气瓶,干燥 ④除去乙烯中少量的乙醇蒸气:将混合气体通入水中洗气,干燥
A. ②④
B. ①②
C. ③④
D. ②③
①乙烯与酸性 $ {\rm {\mathrm{K}\mathrm{M}\mathrm{n}\mathrm{O}}_{4}} $ 溶液反应后生成新的杂质 $ {\rm {\mathrm{C}\mathrm{O}}_{2}} $ ,不能达到除杂目的,错误;②饱和碳酸钠溶液可与乙酸反应生成水溶性盐,而不与乙酸乙酯反应,经分液后可除去杂质,正确; $ {\rm ③{\mathrm{C}\mathrm{O}}_{2}} $ 和 $ {\rm {\mathrm{S}\mathrm{O}}_{2}} $ 均可与碳酸钠溶液反应,应选用饱和碳酸氢钠溶液,错误;④乙烯不溶于水而乙醇溶于水,水洗可分离出乙烯,正确。综上所述,②④符合题意,选 $ {\rm \mathrm{A}} $ 。
3.分子式为 $ {\rm {\mathrm{C}}_{5}{\mathrm{H}}_{9}{\mathrm{C}\mathrm{l}\mathrm{O}}_{2}} $ 的同分异构体甚多,其中能与 $ {\rm {\mathrm{N}\mathrm{a}\mathrm{H}\mathrm{C}\mathrm{O}}_{3}} $ 发生反应产生 $ {\rm {\mathrm{C}\mathrm{O}}_{2}} $ 的同分异构体共有(不考虑立体异构)( )
A. 4种
B. 8种
C. 12种
D. 16种
分子式为 $ {\rm {\mathrm{C}}_{5}{\mathrm{H}}_{9}{\mathrm{C}\mathrm{l}\mathrm{O}}_{2}} $ ,且能与 $ {\rm {\mathrm{N}\mathrm{a}\mathrm{H}\mathrm{C}\mathrm{O}}_{3}} $ 发生反应产生 $ {\rm {\mathrm{C}\mathrm{O}}_{2}} $ 的有机化合物中含有羧基,同时含有氯原子,可看成丁烷的二元取代产物。当为正丁烷时,其二元取代产物有8种: $ {\rm ①{\mathrm{H}\mathrm{O}\mathrm{O}\mathrm{C}\mathrm{C}\mathrm{H}\mathrm{C}\mathrm{l}\mathrm{C}\mathrm{H}}_{2}{\mathrm{C}\mathrm{H}}_{2}{\mathrm{C}\mathrm{H}}_{3}} $ , $ {\rm ②{\mathrm{H}\mathrm{O}\mathrm{O}\mathrm{C}\mathrm{C}\mathrm{H}}_{2}{\mathrm{C}\mathrm{H}\mathrm{C}\mathrm{l}\mathrm{C}\mathrm{H}}_{2}{\mathrm{C}\mathrm{H}}_{3}} $ ,
$ {\rm ③{\mathrm{H}\mathrm{O}\mathrm{O}\mathrm{C}\mathrm{C}\mathrm{H}}_{2}{\mathrm{C}\mathrm{H}}_{2}{\mathrm{C}\mathrm{H}\mathrm{C}\mathrm{l}\mathrm{C}\mathrm{H}}_{3}} $ , $ {\rm ④{\mathrm{H}\mathrm{O}\mathrm{O}\mathrm{C}\mathrm{C}\mathrm{H}}_{2}{\mathrm{C}\mathrm{H}}_{2}{\mathrm{C}\mathrm{H}}_{2}{\mathrm{C}\mathrm{H}}_{2}\mathrm{C}\mathrm{l}} $ ,
$ {\rm ⑤{\mathrm{C}\mathrm{H}}_{2}\mathrm{C}\mathrm{l}\mathrm{C}\mathrm{H}(\mathrm{C}\mathrm{O}\mathrm{O}\mathrm{H}){\mathrm{C}\mathrm{H}}_{2}{\mathrm{C}\mathrm{H}}_{3}} $ , $ {\rm ⑥{\mathrm{C}\mathrm{H}}_{3}\mathrm{C}\mathrm{C}\mathrm{l}(\mathrm{C}\mathrm{O}\mathrm{O}\mathrm{H}){\mathrm{C}\mathrm{H}}_{2}{\mathrm{C}\mathrm{H}}_{3}} $ ,
$ {\rm ⑦{\mathrm{C}\mathrm{H}}_{3}\mathrm{C}\mathrm{H}(\mathrm{C}\mathrm{O}\mathrm{O}\mathrm{H}){\mathrm{C}\mathrm{H}\mathrm{C}\mathrm{l}\mathrm{C}\mathrm{H}}_{3}} $ , $ {\rm ⑧{\mathrm{C}\mathrm{H}}_{3}\mathrm{C}\mathrm{H}(\mathrm{C}\mathrm{O}\mathrm{O}\mathrm{H}){\mathrm{C}\mathrm{H}}_{2}{\mathrm{C}\mathrm{H}}_{2}\mathrm{C}\mathrm{l}} $ 。当为异丁烷时,其二元取代产物有4种:
$ {\rm ①\mathrm{H}\mathrm{O}\mathrm{O}\mathrm{C}\mathrm{C}\mathrm{H}\mathrm{C}\mathrm{l}\mathrm{C}\mathrm{H}({\mathrm{C}\mathrm{H}}_{3})_{2}} $ , $ {\rm ②{\mathrm{H}\mathrm{O}\mathrm{O}\mathrm{C}\mathrm{C}\mathrm{H}}_{2}\mathrm{C}\mathrm{C}\mathrm{l}({\mathrm{C}\mathrm{H}}_{3})_{2}} $ ,
$ {\rm ③{\mathrm{H}\mathrm{O}\mathrm{O}\mathrm{C}\mathrm{C}\mathrm{H}}_{2}\mathrm{C}\mathrm{H}({\mathrm{C}\mathrm{H}}_{2}\mathrm{C}\mathrm{l}){\mathrm{C}\mathrm{H}}_{3}} $ , $ {\rm ④{\mathrm{C}\mathrm{H}}_{2}\mathrm{C}\mathrm{l}\mathrm{C} (\mathrm{C}\mathrm{O}\mathrm{O}\mathrm{H} ) ({\mathrm{C}\mathrm{H}}_{3})_{2}} $ 。
故符合条件的同分异构体共有12种, $ {\rm \mathrm{C}} $ 正确。
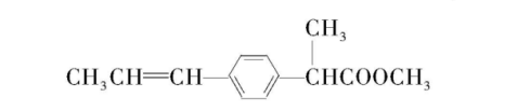
4.某有机化合物 $ {\rm \mathrm{X}} $ 的结构简式如图所示,下列说法错误的是( )

A. $ {\rm \mathrm{X}} $ 的分子式为 $ {\rm {\mathrm{C}}_{13}{\mathrm{H}}_{16}{\mathrm{O}}_{2}} $
B. $ {\rm \mathrm{X}} $ 可以水解生成乙醇
C. $ {\rm \mathrm{X}} $ 含有两种官能团
D. $ {\rm \mathrm{X}} $ 能使溴水、酸性高锰酸钾溶液褪色
观察该有机物的结构知,一分子 $ {\rm \mathrm{X}} $ 中含13个 $ {\rm \mathrm{C}} $ 、16个 $ {\rm \mathrm{H}} $ 、2个 $ {\rm \mathrm{O}} $ ,则分子式为 $ {\rm {\mathrm{C}}_{13}{\mathrm{H}}_{16}{\mathrm{O}}_{2}} $ , $ {\rm \mathrm{A}} $ 正确; $ {\rm \mathrm{X}} $ 结构中含酯基,可以发生水解得到甲醇 $ {\rm ({\mathrm{C}\mathrm{H}}_{3}\mathrm{O}\mathrm{H})} $ , $ {\rm \mathrm{B}} $ 错误; $ {\rm \mathrm{X}} $ 含有碳碳双键和酯基两种官能团, $ {\rm \mathrm{C}} $ 正确;该有机物含碳碳双键,能和溴水中的溴单质发生加成反应而使溴水褪色,且碳碳双键能和酸性高锰酸钾溶液发生氧化还原反应而使其褪色, $ {\rm \mathrm{D}} $ 正确。
5.化合物 $ {\rm \mathrm{M}} $ 的键线式如图所示,下列说法正确的是( )

A. 含有三种含氧官能团
B. 可发生酯化反应、加聚反应,但不能发生催化氧化
C. $ {\rm 1\mathrm{m}\mathrm{o}\mathrm{l}\mathrm{M}} $ 与足量的 $ {\rm \mathrm{N}\mathrm{a}\mathrm{O}\mathrm{H}} $ 反应,需消耗 $ {\rm 3\mathrm{m}\mathrm{o}\mathrm{l}\mathrm{N}\mathrm{a}\mathrm{O}\mathrm{H}} $
D. 相对分子质量比 $ {\rm \mathrm{M}} $ 小14,且含有相同数目羧基和羟基的四元环状的结构共有6种(不考虑立体异构)
$ {\rm \mathrm{M}} $ 中含有羧基、羟基两种含氧官能团, $ {\rm \mathrm{A}} $ 错误; $ {\rm \mathrm{M}} $ 可发生酯化反应、加聚反应,有羟基,羟基相连碳原子上有 $ {\rm \mathrm{H}} $ ,能发生催化氧化, $ {\rm \mathrm{B}} $ 错误; $ {\rm \mathrm{M}} $ 中含有羧基,能与氢氧化钠反应, $ {\rm 1\mathrm{m}\mathrm{o}\mathrm{l}\mathrm{M}} $ 与足量的 $ {\rm \mathrm{N}\mathrm{a}\mathrm{O}\mathrm{H}} $ 反应,需消耗 $ {\rm 2\mathrm{m}\mathrm{o}\mathrm{l}\mathrm{N}\mathrm{a}\mathrm{O}\mathrm{H}} $ , $ {\rm \mathrm{C}} $ 错误;相对分子质量比 $ {\rm \mathrm{M}} $ 小14,分子式为 $ {\rm {\mathrm{C}}_{6}{\mathrm{H}}_{8}{\mathrm{O}}_{5}} $ ,含有2个羧基、1个羟基,具有四元环状的结构中,可确定 $ {\rm —\mathrm{C}\mathrm{O}\mathrm{O}\mathrm{H}} $ 位置,移动羟基,具体如下:
、
、
,共有6种同分异构体, $ {\rm \mathrm{D}} $ 正确。
6.探究实验室制备乙酸乙酯时饱和 $ {\rm {\mathrm{N}\mathrm{a}}_{2}{\mathrm{C}\mathrm{O}}_{3}} $ 溶液的作用(忽略混合过程中液体体积的变化)。

下列说法不正确的是( )
A. 由①可知,乙酸、乙醇溶于乙酸乙酯
B. “操作 $ \mathrm{a} $ ”为振荡、静置
C. $ {\rm ④⑤\mathrm{p}\mathrm{H}} $ 不同的原因: $ {\rm {\mathrm{N}\mathrm{a}}_{2}{\mathrm{C}\mathrm{O}}_{3}+2{\mathrm{C}\mathrm{H}}_{3}\mathrm{C}\mathrm{O}\mathrm{O}\mathrm{H}\xlongequal{}2{\mathrm{C}\mathrm{H}}_{3}\mathrm{C}\mathrm{O}\mathrm{O}\mathrm{N}\mathrm{a}+{\mathrm{C}\mathrm{O}}_{2}↑+{\mathrm{H}}_{2}\mathrm{O}} $
D. 由上述实验可知,饱和 $ {\rm {\mathrm{N}\mathrm{a}}_{2}{\mathrm{C}\mathrm{O}}_{3}} $ 溶液更有利于除去乙酸乙酯中的乙醇
由图可知,①中混合溶液不分层说明乙酸、乙醇溶于乙酸乙酯, $ {\rm \mathrm{A}} $ 正确;乙酸乙酯不溶于水,乙酸和乙醇溶于水,由图可知,经过“操作 $ \mathrm{a} $ ”后,试管内分层情况与刚加入水或 $ {\rm {\mathrm{N}\mathrm{a}}_{2}{\mathrm{C}\mathrm{O}}_{3}} $ 溶液时不同,则“操作 $ \mathrm{a} $ ”为振荡、静置,使可溶于水的物质充分溶于水, $ {\rm \mathrm{B}} $ 正确; $ {\rm ④⑤\mathrm{p}\mathrm{H}} $ 不同是因为碳酸钠溶液能与醋酸溶液反应生成醋酸钠、二氧化碳和水,反应的化学方程式为 $ {\rm {\mathrm{N}\mathrm{a}}_{2}{\mathrm{C}\mathrm{O}}_{3}+2{\mathrm{C}\mathrm{H}}_{3}\mathrm{C}\mathrm{O}\mathrm{O}\mathrm{H}\xlongequal{}2{\mathrm{C}\mathrm{H}}_{3}\mathrm{C}\mathrm{O}\mathrm{O}\mathrm{N}\mathrm{a}+{\mathrm{C}\mathrm{O}}_{2}↑+{\mathrm{H}}_{2}\mathrm{O}} $ , $ {\rm \mathrm{C}} $ 正确; $ {\rm ④⑤\mathrm{p}\mathrm{H}} $ 不同及上层体积不同,说明饱和碳酸钠溶液可以降低乙酸乙酯的溶解度,且更有利于除去乙酸乙酯中的乙酸, $ {\rm \mathrm{D}} $ 错误。
7.丙烯酸乙酯具有菠萝香味,可用作食品添加剂,工业上可以用乙烯、丙烯等为原料合成。下列说法正确的是( )

A. 有机物B的结构简式为 $ {\rm {\mathrm{C}\mathrm{H}}_{3}{\mathrm{C}\mathrm{H}}_{2}\mathrm{C}\mathrm{O}\mathrm{O}\mathrm{H}} $
B. 丙烯酸乙酯( $ {\rm {\mathrm{C}\mathrm{H}}_{2}\xlongequal{}\mathrm{C}\mathrm{H}—{\mathrm{C}\mathrm{O}\mathrm{O}\mathrm{C}\mathrm{H}}_{2}{\mathrm{C}\mathrm{H}}_{3}} $ )中只含有一种官能团
C. 由 $ {\rm {\mathrm{C}\mathrm{H}}_{2}{\mathrm{C}\mathrm{H}}_{2}} $ 生成有机物A(分子式为 $ {\rm {\mathrm{C}}_{2}{\mathrm{H}}_{6}\mathrm{O}} $ )的反应类型为加成反应
D. 合成丙烯酸乙酯的化学方程式为 $ {\rm {\mathrm{C}\mathrm{H}}_{2}\xlongequal{}\mathrm{C}\mathrm{H}—\mathrm{C}\mathrm{O}\mathrm{O}\mathrm{H}+{\mathrm{C}\mathrm{H}}_{3}{\mathrm{C}\mathrm{H}}_{2}\mathrm{O}\mathrm{H}\stackrel{浓硫酸}{\underset{△}{⇌}}{\mathrm{C}\mathrm{H}}_{2}\xlongequal{}\mathrm{C}\mathrm{H}—{\mathrm{C}\mathrm{O}\mathrm{O}\mathrm{C}\mathrm{H}}_{2}{\mathrm{C}\mathrm{H}}_{3}} $
根据生成物 $ {\rm {\mathrm{C}\mathrm{H}}_{2}\xlongequal{}\mathrm{C}\mathrm{H}—{\mathrm{C}\mathrm{O}\mathrm{O}\mathrm{C}\mathrm{H}}_{2}{\mathrm{C}\mathrm{H}}_{3}} $ 逆推可知, $ {\rm {\mathrm{C}\mathrm{H}}_{2}\xlongequal{}\mathrm{C}\mathrm{H}—{\mathrm{C}\mathrm{H}}_{3}} $ 与 $ {\rm {\mathrm{O}}_{2}} $ 在催化剂作用下发生氧化反应生成的有机物 $ {\rm \mathrm{B}} $ 是 $ {\rm {\mathrm{C}\mathrm{H}}_{2}\xlongequal{}\mathrm{C}\mathrm{H}—\mathrm{C}\mathrm{O}\mathrm{O}\mathrm{H}} $ , $ {\rm \mathrm{A}} $ 错误;丙烯酸乙酯分子中含有酯基和碳碳双键两种官能团, $ {\rm \mathrm{B}} $ 错误; $ {\rm {\mathrm{C}\mathrm{H}}_{2}\xlongequal{}{\mathrm{C}\mathrm{H}}_{2}} $ 与 $ {\rm {\mathrm{H}}_{2}\mathrm{O}} $ 在一定条件下发生加成反应生成的有机物 $ {\rm \mathrm{A}} $ 是 $ {\rm {\mathrm{C}\mathrm{H}}_{3}{\mathrm{C}\mathrm{H}}_{2}\mathrm{O}\mathrm{H}} $ ,反应类型是加成反应, $ {\rm \mathrm{C}} $ 正确; $ {\rm {\mathrm{C}\mathrm{H}}_{2}\xlongequal{}\mathrm{C}\mathrm{H}—\mathrm{C}\mathrm{O}\mathrm{O}\mathrm{H}} $ 、 $ {\rm {\mathrm{C}\mathrm{H}}_{3}{\mathrm{C}\mathrm{H}}_{2}\mathrm{O}\mathrm{H}} $ 在浓硫酸催化及加热的条件下,发生酯化反应生成丙烯酸乙酯和水,故合成丙烯酸乙酯的化学方程式为 $ {\rm {\mathrm{C}\mathrm{H}}_{2}\xlongequal{}\mathrm{C}\mathrm{H}—\mathrm{C}\mathrm{O}\mathrm{O}\mathrm{H}+{\mathrm{C}\mathrm{H}}_{3}{\mathrm{C}\mathrm{H}}_{2}\mathrm{O}\mathrm{H}\stackrel{浓硫酸}{\underset{△}{⇌}}{\mathrm{C}\mathrm{H}}_{2}\xlongequal{}\mathrm{C}\mathrm{H}—{\mathrm{C}\mathrm{O}\mathrm{O}\mathrm{C}\mathrm{H}}_{2}{\mathrm{C}\mathrm{H}}_{3}+{\mathrm{H}}_{2}\mathrm{O}} $ , $ {\rm \mathrm{D}} $ 错误。
8.化学实验对化学学习具有重要意义,请回答下列问题。
Ⅰ.利用乙醇与乙酸的反应制备乙酸乙酯
实验步骤:选取适量的纸巾,先将其揉成小块,然后用冷水润湿,最后将其包裹在注射器上方;在一支试管中加入 $ {\rm 3\mathrm{m}\mathrm{L}} $ 乙醇,然后边振荡试管边缓慢加入 $ {\rm 2\mathrm{m}\mathrm{L}} $ 浓硫酸和 $ {\rm 2\mathrm{m}\mathrm{L}} $ 乙酸,再加入几片碎瓷片,实验装置如图甲(部分夹持装置已略)。用酒精灯小心加热试管,并适时往纸巾上滴冷水,待观察到注射器内溶液红色变浅且液面有较为明显的分层时,熄灭酒精灯。

(1) 试管内发生反应的化学方程式为 ,浓硫酸的作用是 。
(2) 先用纸巾包裹住注射器并适时在纸巾上滴冷水的目的是 ;
上述实验中饱和碳酸钠溶液的作用是吸收乙醇、 以及 。
(3) 实验结束后,取出注射器,对其进行振荡、静置。上层液体的主要成分为 。
Ⅱ.探究乙醇的催化氧化反应

实验步骤:在棉球上滴1滴乙醇,然后用希夫试剂将棉球润湿,棉球没有明显的变化。如图乙所示:把铜丝加热至红热后,伸入乙醇中,铜丝表面有大量的气泡产生,红热的铜丝由黑色变为红色,棉球变为紫红色,铜丝上方的 $ {\rm \mathrm{p}\mathrm{H}} $ 试纸与标准比色卡比照,其 $ {\rm \mathrm{p}\mathrm{H}} $ 约为3。
已知:①常温下,无色的希夫试剂遇到醛类物质会变为紫红色;
②常温常压下,空气中 $ {\rm {\mathrm{C}\mathrm{O}}_{2}} $ 溶于水形成溶液的 $ {\rm \mathrm{p}\mathrm{H}\approx 5.6} $ 。
(4) 试管内生成醛类物质的总反应的化学方程式为 。
(5) 铜丝上方的 $ {\rm \mathrm{p}\mathrm{H}} $ 试纸与标准比色卡比照,其 $ {\rm \mathrm{p}\mathrm{H}} $ 约为3的原因可能是 。
(1) $ {\rm {\mathrm{C}\mathrm{H}}_{3}\mathrm{C}\mathrm{O}\mathrm{O}\mathrm{H}+{\mathrm{C}\mathrm{H}}_{3}{\mathrm{C}\mathrm{H}}_{2}\mathrm{O}\mathrm{H}\stackrel{浓硫酸}{\underset{△}{⇌}}{\mathrm{C}\mathrm{H}}_{3}{\mathrm{C}\mathrm{O}\mathrm{O}\mathrm{C}\mathrm{H}}_{2}{\mathrm{C}\mathrm{H}}_{3}+{\mathrm{H}}_{2}\mathrm{O}} $ ;催化剂、吸水剂
(2) 冷凝乙酸乙酯;除去乙酸;降低乙酸乙酯的溶解度
(3) 乙酸乙酯(或 $ {\rm {\mathrm{C}\mathrm{H}}_{3}{\mathrm{C}\mathrm{O}\mathrm{O}\mathrm{C}\mathrm{H}}_{2}{\mathrm{C}\mathrm{H}}_{3}} $ )
(4) $ {\rm 2{\mathrm{C}\mathrm{H}}_{3}{\mathrm{C}\mathrm{H}}_{2}\mathrm{O}\mathrm{H}+{\mathrm{O}}_{2}{\xrightarrow[ △]{\mathrm{C}\mathrm{u}}}2{\mathrm{C}\mathrm{H}}_{3}\mathrm{C}\mathrm{H}\mathrm{O}+2{\mathrm{H}}_{2}\mathrm{O}} $
(5) 部分乙醛被氧化成了乙酸
(1) 根据“酸脱羟基醇脱氢”的规律可知反应的化学方程式为 $ {\rm {\mathrm{C}\mathrm{H}}_{3}\mathrm{C}\mathrm{O}\mathrm{O}\mathrm{H}+{\mathrm{C}\mathrm{H}}_{3}{\mathrm{C}\mathrm{H}}_{2}\mathrm{O}\mathrm{H}\stackrel{浓硫酸}{\underset{△}{⇌}}{\mathrm{C}\mathrm{H}}_{3}{\mathrm{C}\mathrm{O}\mathrm{O}\mathrm{C}\mathrm{H}}_{2}{\mathrm{C}\mathrm{H}}_{3}+{\mathrm{H}}_{2}\mathrm{O}} $ ,浓硫酸起到催化剂和吸水剂的作用。
(2) 冷的湿纸巾可以冷凝乙酸乙酯,使实验现象更加明显;饱和碳酸钠溶液能吸收乙醇、除去乙酸以及降低乙酸乙酯的溶解度。
(3) 乙酸乙酯的密度小于水且微溶于水,因此乙酸乙酯在上层。
(4) 乙醇在 $ {\rm \mathrm{C}\mathrm{u}} $ 作催化剂、加热条件下发生催化氧化反应生成乙醛: $ {\rm 2{\mathrm{C}\mathrm{H}}_{3}{\mathrm{C}\mathrm{H}}_{2}\mathrm{O}\mathrm{H}+{\mathrm{O}}_{2}{\xrightarrow[ △]{\mathrm{C}\mathrm{u}}}2{\mathrm{C}\mathrm{H}}_{3}\mathrm{C}\mathrm{H}\mathrm{O}+2{\mathrm{H}}_{2}\mathrm{O}} $ 。
(5) 反应生成的乙醛可继续发生催化氧化反应生成乙酸,乙酸可电离出 $ {\rm {\mathrm{H}}^{+}} $ ,溶液显酸性,故上层 $ {\rm \mathrm{p}\mathrm{H}} $ 约为3的原因为有乙酸生成。
9.端炔烃在催化剂作用下可以发生偶联反应,称为 $ {\rm \mathrm{G}\mathrm{l}\mathrm{a}\mathrm{s}\mathrm{e}\mathrm{r}} $ 反应。如: $ {\rm 2\mathrm{R}—\mathrm{C}\equiv \mathrm{C}\mathrm{H}{\xrightarrow[ ~]{催化剂}}\mathrm{R}—\mathrm{C}\equiv \mathrm{C}—\mathrm{C}\equiv \mathrm{C}—\mathrm{R}+{\mathrm{H}}_{2}} $ ,该反应在研究发光材料、超分子化学等方面具有重要的价值。下列有机物存在如图转化关系:

已知: $ {\rm {\mathrm{C}\mathrm{H}}_{3}{\mathrm{C}\mathrm{H}}_{2}\mathrm{B}\mathrm{r}{\xrightarrow[ ~]{{\mathrm{N}\mathrm{a}\mathrm{N}\mathrm{H}}_{2}/{\mathrm{H}}_{2}\mathrm{O}}}{\mathrm{C}\mathrm{H}}_{2}\stackrel{}{=}{\mathrm{C}\mathrm{H}}_{2}+\mathrm{H}\mathrm{B}\mathrm{r}} $ 。
回答下列问题:
(1) 有机物A和 $ {\rm {\mathrm{C}\mathrm{H}}_{3}\mathrm{C}\mathrm{O}\mathrm{O}\mathrm{H}} $ 中含氧官能团的名称分别是 。
(2) 写出有机物B的结构简式: ,写出有机物C的结构简式: 。
(3) 反应①的反应类型: 。
(4) 写出反应②的化学方程式: 。
(5) 有机物 $ {\rm \mathrm{D}({\mathrm{C}}_{4}{\mathrm{H}}_{6})} $ 的一种同分异构体 $ {\rm \mathrm{W}} $ 是 $ {\rm {\mathrm{C}}_{2}{\mathrm{H}}_{2}} $ 的同系物,并且分子中只有一种化学环境的氢原子,则有机物 $ {\rm \mathrm{W}} $ 的结构简式为 。
(6) 利用题给信息,在“
”中补全由
和 $ {\rm {\mathrm{C}\mathrm{H}}_{2}\xlongequal{}\mathrm{C}\mathrm{H}\mathrm{B}\mathrm{r}} $ 为原料合成
的路线(无机试剂任选) 。

(1) 羟基、羧基
(2) $ {\rm \mathrm{B}\mathrm{r}—{\mathrm{C}\mathrm{H}}_{2}—{\mathrm{C}\mathrm{H}}_{2}—\mathrm{B}\mathrm{r}} $ ; $ {\rm \mathrm{H}\mathrm{C}\equiv \mathrm{C}—\mathrm{C}\equiv \mathrm{C}\mathrm{H}} $
(3) 加成反应
(4) 
(5) $ {\rm {\mathrm{C}\mathrm{H}}_{3}—\mathrm{C}\equiv \mathrm{C}—{\mathrm{C}\mathrm{H}}_{3}} $
(6)
、 $ {\rm {\mathrm{A}\mathrm{l}\mathrm{C}\mathrm{l}}_{3}} $ ; $ {\rm {\mathrm{B}\mathrm{r}}_{2}/{\mathrm{C}\mathrm{C}\mathrm{l}}_{4}} $ ;
; $ {\rm {\mathrm{N}\mathrm{a}\mathrm{N}\mathrm{H}}_{2}/{\mathrm{H}}_{2}\mathrm{O}} $
(1) $ {\rm \mathrm{A}} $ 为乙醇,含氧官能团名称为羟基,乙酸中的含氧官能团名称为羧基。
(2) 由思路导引可知, $ {\rm \mathrm{B}} $ 的结构简式为 $ {\rm \mathrm{B}\mathrm{r}—{\mathrm{C}\mathrm{H}}_{2}—{\mathrm{C}\mathrm{H}}_{2}—\mathrm{B}\mathrm{r}} $ , $ {\rm \mathrm{C}} $ 的结构简式为 $ {\rm \mathrm{H}\mathrm{C}\equiv \mathrm{C}—\mathrm{C}\equiv \mathrm{C}\mathrm{H}} $ 。
(3) 反应①为 $ {\rm \mathrm{H}\mathrm{C}\equiv \mathrm{C}—\mathrm{C}\equiv \mathrm{C}\mathrm{H}} $ 与 $ {\rm {\mathrm{H}}_{2}} $ 反应生成 $ {\rm {\mathrm{C}\mathrm{H}}_{2}\xlongequal{}\mathrm{C}\mathrm{H}—\mathrm{C}\mathrm{H}\xlongequal{}{\mathrm{C}\mathrm{H}}_{2}} $ ,反应类型为加成反应。
(4) $ {\rm \mathrm{E}} $ 发生加聚反应生成 $ {\rm \mathrm{F}} $ ,反应②的化学方程式为
。
(5) $ {\rm \mathrm{D}({\mathrm{C}}_{4}{\mathrm{H}}_{6})} $ 的同分异构体 $ {\rm \mathrm{W}} $ 是 $ {\rm {\mathrm{C}}_{2}{\mathrm{H}}_{2}} $ 的同系物,可知 $ {\rm \mathrm{W}} $ 中有1个碳碳三键; $ {\rm \mathrm{W}} $ 分子中只有一种化学环境的氢原子,则 $ {\rm \mathrm{W}} $ 的结构简式为 $ {\rm {\mathrm{C}\mathrm{H}}_{3}—\mathrm{C}\equiv \mathrm{C}—{\mathrm{C}\mathrm{H}}_{3}} $ 。
(6)
和 $ {\rm {\mathrm{C}\mathrm{H}}_{2}\xlongequal{}\mathrm{C}\mathrm{H}\mathrm{B}\mathrm{r}} $ 在 $ {\rm {\mathrm{A}\mathrm{l}\mathrm{C}\mathrm{l}}_{3}} $ 作用下发生取代反应生成
,
与 $ {\rm {\mathrm{B}\mathrm{r}}_{2}} $ 加成制得
,
在 $ {\rm {\mathrm{N}\mathrm{a}\mathrm{N}\mathrm{H}}_{2}/{\mathrm{H}}_{2}\mathrm{O}} $ 作用下转化成
,
通过 $ {\rm \mathrm{G}\mathrm{l}\mathrm{a}\mathrm{s}\mathrm{e}\mathrm{r}} $ 反应生成
。