1.下列有关乙烯的化学用语中,不正确的是( )
A. 电子式:
B. 分子式: $ {\rm {\mathrm{C}}_{2}{\mathrm{H}}_{4}} $
C. 分子结构模型:![]()
D. 空间结构是正四面体形
乙烯分子中每个 $ {\rm \mathrm{H}} $ 与 $ {\rm \mathrm{C}} $ 之间形成1个共用电子对, $ {\rm \mathrm{C}} $ 与 $ {\rm \mathrm{C}} $ 之间形成2个共用电子对,电子式为
, $ {\rm \mathrm{A}} $ 正确;乙烯的分子式为 $ {\rm {\mathrm{C}}_{2}{\mathrm{H}}_{4}} $ , $ {\rm \mathrm{B}} $ 正确;乙烯分子结构模型可以表示为
, $ {\rm \mathrm{C}} $ 正确;乙烯分子是平面形分子,6个原子在同一平面上,不是正四面体形结构, $ {\rm \mathrm{D}} $ 错误。
2.下列关于乙烯和乙烷的说法中,不正确的是( )
A. 乙烯属于不饱和链状烃,乙烷属于饱和链状烃
B. 乙烯分子中所有原子处于同一平面上,乙烷分子为立体结构,所有原子不在同一平面上
C. 乙烯分子中的碳碳双键和乙烷分子中的碳碳单键相比较,双键的键能更大,键长更长
D. 乙烯能使酸性 $ {\rm {\mathrm{K}\mathrm{M}\mathrm{n}\mathrm{O}}_{4}} $ 溶液褪色,乙烷不能
乙烯中有双键,属于不饱和链状烃,乙烷中全是单键,属于饱和链状烃, $ {\rm \mathrm{A}} $ 正确;乙烯为平面结构,乙烷中每个碳都连了4个单键,所有原子不在一个平面上, $ {\rm \mathrm{B}} $ 正确;碳碳双键比碳碳单键短, $ {\rm \mathrm{C}} $ 错误;乙烯中有碳碳双键,有还原性,可以使酸性高锰酸钾溶液褪色,乙烷是饱和烃,不与酸性 $ {\rm {\mathrm{K}\mathrm{M}\mathrm{n}\mathrm{O}}_{4}} $ 溶液反应, $ {\rm \mathrm{D}} $ 正确。
3.乙烯是重要的工业原料,下列有关乙烯的叙述不正确的是( )
A. 常温常压下是稍有气味的气体
B. 乙烯能使溴的 $ {\rm {\mathrm{C}\mathrm{C}\mathrm{l}}_{4}} $ 溶液和酸性 $ {\rm {\mathrm{K}\mathrm{M}\mathrm{n}\mathrm{O}}_{4}} $ 溶液褪色,二者褪色的原理相同
C. 在一定条件下能够聚合生成聚乙烯,聚乙烯不能使酸性 $ {\rm {\mathrm{K}\mathrm{M}\mathrm{n}\mathrm{O}}_{4}} $ 溶液褪色
D. 乙烯能与 $ {\rm \mathrm{H}\mathrm{C}\mathrm{l}} $ 发生加成反应生成氯乙烷
常温常压下乙烯是无色、稍有气味的气体, $ {\rm \mathrm{A}} $ 正确;乙烯与溴发生加成反应使溴的 $ {\rm {\mathrm{C}\mathrm{C}\mathrm{l}}_{4}} $ 溶液褪色,与酸性 $ {\rm {\mathrm{K}\mathrm{M}\mathrm{n}\mathrm{O}}_{4}} $ 溶液发生氧化还原反应而使酸性 $ {\rm {\mathrm{K}\mathrm{M}\mathrm{n}\mathrm{O}}_{4}} $ 溶液褪色,二者褪色原理不同, $ {\rm \mathrm{B}} $ 错误;聚乙烯中无双键,无法使酸性 $ {\rm {\mathrm{K}\mathrm{M}\mathrm{n}\mathrm{O}}_{4}} $ 溶液褪色, $ {\rm \mathrm{C}} $ 正确;乙烯能与 $ {\rm \mathrm{H}\mathrm{C}\mathrm{l}} $ 发生加成反应,双键打开,生成氯乙烷, $ {\rm \mathrm{D}} $ 正确。
4.文献记载:“红柿摘下未熟,每篮用木瓜三枚放入,得气即发,并无涩味。”下列有关“气”的说法错误的是( )
A. 将“气”通入溴水中,溴水褪色且分层
B. 常温下,将“气”通入水中生成 $ {\rm {\mathrm{C}\mathrm{H}}_{3}{\mathrm{C}\mathrm{H}}_{2}\mathrm{O}\mathrm{H}} $
C. 该“气”能作植物生长调节剂,促进植物生长
D. “气”的分子中六个原子在同一平面上
“红柿摘下未熟,每篮用木瓜三枚放入,得气即发,并无涩味”,这里的“气”指的是乙烯,乙烯是催熟剂。将乙烯通入溴水中,乙烯与 $ {\rm {\mathrm{B}\mathrm{r}}_{2}} $ 发生加成反应生成 $ {\rm 1,} 2- $ 二溴乙烷, $ {\rm 1,} 2- $ 二溴乙烷难溶于水,所以溴水褪色且分层, $ {\rm \mathrm{A}} $ 正确;常温下,乙烯和水不反应, $ {\rm \mathrm{B}} $ 错误;乙烯能作植物生长调节剂,促进植物生长, $ {\rm \mathrm{C}} $ 正确;乙烯是平面形分子,六个原子在同一平面上, $ {\rm \mathrm{D}} $ 正确。
5.如图是几种烃的球棍模型和空间填充模型,试回答下列问题:
![]()

![]()
(1) A、B、C三者的关系是 。
(2) 若将D通入溴的四氯化碳溶液中,反应的化学方程式为 。
(3) 在一定条件下,D与水反应生成的有机物的结构简式是 ,其反应类型是 。
(4) 用 $ {\rm —{\mathrm{C}\mathrm{H}}_{3}} $ 取代D中一个氢原子后得到物质 $ {\rm \mathrm{F}} $ , $ {\rm \mathrm{F}} $ 在催化剂条件下发生加聚反应生成一种高分子材料,该高分子材料主要用于家用电器、塑料管材、高透材料等方面。写出 $ {\rm \mathrm{F}} $ 发生加聚反应的化学方程式: 。
(5) 等物质的量的下列烃完全燃烧,消耗氧气的物质的量最多的是 (填序号)。
A. $ {\rm {\mathrm{C}}_{3}{\mathrm{H}}_{8}} $ B. $ {\rm {\mathrm{C}}_{4}{\mathrm{H}}_{6}} $ C. $ {\rm {\mathrm{C}}_{5}{\mathrm{H}}_{12}} $ D. $ {\rm {\mathrm{C}}_{6}{\mathrm{H}}_{6}} $
(1) 互为同系物
(2) $ {\rm {\mathrm{C}\mathrm{H}}_{2}\xlongequal{}{\mathrm{C}\mathrm{H}}_{2}+{\mathrm{B}\mathrm{r}}_{2}\to {\mathrm{C}\mathrm{H}}_{2}{\mathrm{B}\mathrm{r}\mathrm{C}\mathrm{H}}_{2}\mathrm{B}\mathrm{r}} $
(3) $ {\rm {\mathrm{C}\mathrm{H}}_{3}{\mathrm{C}\mathrm{H}}_{2}\mathrm{O}\mathrm{H}} $ ;加成反应
(4) 
(5) C
(1) $ {\rm \mathrm{A}} $ 的结构简式为 $ {\rm {\mathrm{C}\mathrm{H}}_{3}{\mathrm{C}\mathrm{H}}_{3}} $ , $ {\rm \mathrm{B}} $ 的结构简式为 $ {\rm {\mathrm{C}\mathrm{H}}_{3}{\mathrm{C}\mathrm{H}}_{2}{\mathrm{C}\mathrm{H}}_{3}} $ , $ {\rm \mathrm{C}} $ 的结构简式为 $ {\rm {\mathrm{C}\mathrm{H}}_{3}{\mathrm{C}\mathrm{H}}_{2}{\mathrm{C}\mathrm{H}}_{2}{\mathrm{C}\mathrm{H}}_{3}} $ ,三者的分子组成依次相差1个 $ {\rm {\mathrm{C}\mathrm{H}}_{2}} $ 原子团,结构相似,故 $ {\rm \mathrm{A}} $ 、 $ {\rm \mathrm{B}} $ 、 $ {\rm \mathrm{C}} $ 互为同系物。
(2) $ {\rm \mathrm{D}} $ 为乙烯,乙烯可与溴的四氯化碳溶液中的 $ {\rm {\mathrm{B}\mathrm{r}}_{2}} $ 反应生成 $ {\rm 1,} 2- $ 二溴乙烷,化学方程式为 $ {\rm {\mathrm{C}\mathrm{H}}_{2}\xlongequal{}{\mathrm{C}\mathrm{H}}_{2}+{\mathrm{B}\mathrm{r}}_{2}\to {\mathrm{C}\mathrm{H}}_{2}{\mathrm{B}\mathrm{r}\mathrm{C}\mathrm{H}}_{2}\mathrm{B}\mathrm{r}} $ 。
(3) 在一定条件下,乙烯能与水反应生成乙醇,乙醇的结构简式是 $ {\rm {\mathrm{C}\mathrm{H}}_{3}{\mathrm{C}\mathrm{H}}_{2}\mathrm{O}\mathrm{H}} $ ,其反应类型是加成反应。
(4) $ {\rm —{\mathrm{C}\mathrm{H}}_{3}} $ 取代乙烯中一个氢原子可得到丙烯,丙烯在催化剂条件下发生加聚反应生成聚丙烯,化学方程式为
。
(5) 烃完全燃烧通式为 $ {\rm {\mathrm{C}}_{x}{\mathrm{H}}_{y}+\left(x+\dfrac{y}{4}\right){\mathrm{O}}_{2}{\xrightarrow[ ~]{点燃}}x{\mathrm{C}\mathrm{O}}_{2}+\dfrac{y}{2}{\mathrm{H}}_{2}\mathrm{O}} $ ,结合化学式可知,等物质的量的几种烃完全燃烧时消耗氧气的物质的量最多的是 $ {\rm {\mathrm{C}}_{5}{\mathrm{H}}_{12}} $ 。
6.下列颜色变化是由于发生了加成反应的是( )
A. 乙烯使酸性 $ {\rm {\mathrm{K}\mathrm{M}\mathrm{n}\mathrm{O}}_{4}} $ 溶液褪色
B. 将四氯化碳加入碘水中,振荡后水层接近无色
C. 乙烯使溴水褪色
D. 甲烷与氯气混合,光照一段时间后黄绿色消失
乙烯使酸性 $ {\rm {\mathrm{K}\mathrm{M}\mathrm{n}\mathrm{O}}_{4}} $ 溶液褪色是因为发生氧化还原反应, $ {\rm \mathrm{A}} $ 不符合题意;碘单质在四氯化碳中的溶解度大于在水中的溶解度,将四氯化碳加入碘水中,四氯化碳能萃取碘水中的碘单质,振荡后水层接近无色,发生了物理变化, $ {\rm \mathrm{B}} $ 不符合题意;乙烯使溴水褪色是因为乙烯与 $ {\rm {\mathrm{B}\mathrm{r}}_{2}} $ 发生了加成反应, $ {\rm \mathrm{C}} $ 符合题意;甲烷与氯气混合,光照一段时间后黄绿色消失,发生的是取代反应, $ {\rm \mathrm{D}} $ 不符合题意。
7.欲制取较纯净的 $ {\rm 1,} 2- $ 二溴乙烷,可采取的方法是( )
A. 乙烯与溴化氢加成
B. 乙烯先与溴化氢加成,再与等物质的量的溴在光照下反应
C. 乙烯与溴单质加成
D. 乙烷与溴单质以 $ 1:2 $ 的体积比在光照条件下反应
乙烯与溴化氢加成生成 $ 1- $ 溴乙烷, $ {\rm \mathrm{A}} $ 错误;乙烯先与溴化氢加成,生成的 $ 1- $ 溴乙烷再与等物质的量的溴在光照下反应,可能有多个氢原子被溴取代, $ {\rm \mathrm{B}} $ 错误;乙烯与溴单质加成,只生成 $ {\rm 1,} 2- $ 二溴乙烷, $ {\rm \mathrm{C}} $ 正确;乙烷与溴单质以 $ 1:2 $ 的体积比在光照条件下发生取代反应,反应产物是混合物, $ {\rm \mathrm{D}} $ 错误。
8.某温度和压强下,将 $ 3.6\mathrm{g} $ 由两种单烯烃组成的混合气体与足量的氢气反应,充分加成后,生成 $ 3.8\mathrm{g} $ 两种对应的烷烃,则所得烷烃中一定有( )
A. 乙烷
B. 丙烷
C. 丁烷
D. 戊烷
单烯烃与 $ {\rm {\mathrm{H}}_{2}} $ 按 $ 1:1 $ 物质的量之比发生加成反应生成对应的烷烃,反应消耗 $ {\rm {\mathrm{H}}_{2}} $ 的质量为 $ 3.8\mathrm{g}-3.6\mathrm{g}=0.2\mathrm{g} $ ,反应消耗 $ {\rm {\mathrm{H}}_{2}} $ 物质的量为 $ \dfrac{0.2\mathrm{g}}{2\mathrm{g}\cdot {\mathrm{m}\mathrm{o}\mathrm{l}}^{-1}}=0.1\mathrm{m}\mathrm{o}\mathrm{l} $ ,则单烯烃总物质的量为 $ 0.1\mathrm{m}\mathrm{o}\mathrm{l} $ ,单烯烃的平均摩尔质量为 $ \dfrac{3.6\mathrm{g}}{0.1\mathrm{m}\mathrm{o}\mathrm{l}}=36\mathrm{g}\cdot {\mathrm{m}\mathrm{o}\mathrm{l}}^{-1} $ ;单烯烃的分子通式为 $ {\rm {\mathrm{C}}_{n}{\mathrm{H}}_{2n}} $ ,则 $ 14n=36 $ ,解得 $ n\approx 2.57 $ ,故单烯烃中一定含乙烯,另一种单烯烃可能为丙烯、丁烯、戊烯等,生成的烷烃中一定有乙烷,另一种烷烃可能为丙烷、丁烷、戊烷等;故选 $ {\rm \mathrm{A}} $ 。
9.下列说法正确的是( )
A. 等质量的丙烯和聚丙烯完全燃烧生成 $ {\rm {\mathrm{C}\mathrm{O}}_{2}} $ 的物质的量相等
B. 聚丙烯可使溴水因发生化学反应而褪色
C. 高分子材料
由 $ {\rm \mathrm{C}\mathrm{H}\xlongequal{}\mathrm{C}\mathrm{H}} $ 、 $ {\rm (\mathrm{C}\mathrm{N})_{2}} $ 、 $ {\rm {\mathrm{C}\mathrm{H}}_{3}\mathrm{C}\mathrm{O}\mathrm{O}\mathrm{C}\mathrm{H}\xlongequal{}{\mathrm{C}\mathrm{H}}_{2}} $ 三种单体在一定条件下加聚得到
D. 苯乙烯通过加聚反应得到
等质量的丙烯和聚丙烯即相同质量的“ $ {\rm {\mathrm{C}\mathrm{H}}_{2}} $ ”,完全燃烧生成 $ {\rm {\mathrm{C}\mathrm{O}}_{2}} $ 的物质的量相等, $ {\rm \mathrm{A}} $ 正确;聚丙烯无碳碳双键,与溴水不发生化学反应, $ {\rm \mathrm{B}} $ 错误;此高分子材料由 $ {\rm {\mathrm{C}\mathrm{H}}_{3}\mathrm{C}\mathrm{O}\mathrm{O}\mathrm{C}\mathrm{H}\xlongequal{}{\mathrm{C}\mathrm{H}}_{2}} $ 和 $ {\rm \mathrm{C}\mathrm{H}(\mathrm{C}\mathrm{N})\xlongequal{}\mathrm{C}\mathrm{H}\mathrm{C}\mathrm{N}} $ 两种单体在一定条件下加聚得到, $ {\rm \mathrm{C}} $ 错误;苯乙烯通过加聚反应得到
, $ {\rm \mathrm{D}} $ 错误。
10. 10.合成结构简式为
的高聚物,其单体是( )
①
②
③
④
⑤![]()
A. ①②
B. ④⑤
C. ③⑤
D. ①③
根据结构简式可知,该高聚物为加聚产物,其链节为
,由“断键法”(链节主链上单键改双键、双键改单键,超过饱和的碳原子中间断)可知其单体加聚时成键位置为
,因此该高聚物的单体为苯乙烯(
)、 $ {\rm 1,} 3- $ 丁二烯(
),故选 $ {\rm \mathrm{D}} $ 。
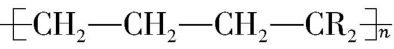
11.现有两种烯烃: $ {\rm {\mathrm{C}\mathrm{H}}_{2}\xlongequal{}{\mathrm{C}\mathrm{H}}_{2}} $ 和 $ {\rm {\mathrm{C}\mathrm{H}}_{2}\xlongequal{}{\mathrm{C}\mathrm{R}}_{2}(\mathrm{R}} $ 为烷基 $ ) $ ,它们的混合物进行聚合反应后,产物中含有( )
①
②
③
④
⑤
A. ①⑤
B. ②④
C. ①③⑤
D. 只有①
$ {\rm {\mathrm{C}\mathrm{H}}_{2}\xlongequal{}{\mathrm{C}\mathrm{H}}_{2}} $ 和 $ {\rm {\mathrm{C}\mathrm{H}}_{2}\xlongequal{}{\mathrm{C}\mathrm{R}}_{2}(\mathrm{R}} $ 为烷基 $ ) $ 进行加成聚合时,既可能发生乙烯间的聚合,对应产物为①;也可能发生 $ {\rm {\mathrm{C}\mathrm{H}}_{2}\xlongequal{}{\mathrm{C}\mathrm{R}}_{2}} $ 间的聚合,对应产物为⑤;也可能发生两种单体之间的聚合,对应产物为③。选 $ {\rm \mathrm{C}} $ 。
12.下列说法正确的是( )
A. 分子式符合 $ {\rm {\mathrm{C}}_{n}{\mathrm{H}}_{2n+2}(n⩾ 1)} $ 的烃一定是饱和烃
B. 分子式符合 $ {\rm {\mathrm{C}}_{n}{\mathrm{H}}_{2n}} $ 的烃一定是不饱和烃
C. 烷烃、烯烃和炔烃都属于链状烃
D. 具有环状结构的烃都属于芳香烃
分子式符合 $ {\rm {\mathrm{C}}_{n}{\mathrm{H}}_{2n+2}(n⩾ 1)} $ 的烃中碳原子均达到饱和状态,一定是饱和烃, $ {\rm \mathrm{A}} $ 正确;分子式符合 $ {\rm {\mathrm{C}}_{n}{\mathrm{H}}_{2n}(n⩾ 2)} $ 的烃可能是烯烃(不饱和烃),也可能是环状烷烃(饱和烃), $ {\rm \mathrm{B}} $ 错误;烷烃包括链状烷烃和环状烷烃, $ {\rm \mathrm{C}} $ 错误;具有环状结构的烃除了芳香烃外,还可能是环状烷烃、环状烯烃等, $ {\rm \mathrm{D}} $ 错误。
13.从碳骨架形状进行分类,关于下列各有机物的说法中正确的是( )
$ {\rm ①{\mathrm{C}\mathrm{H}}_{3}{\mathrm{C}\mathrm{H}}_{2}\mathrm{C}\mathrm{l}} $ ②
$ {\rm ③({\mathrm{C}\mathrm{H}}_{3})_{2}\mathrm{C}\xlongequal{}{\mathrm{C}\mathrm{H}}_{2}} $ ④
⑤
A. 链状有机物:①③⑤
B. 链状烃:①③
C. 环状烃:②④⑤
D. 芳香烃:②④
$ {\rm ①{\mathrm{C}\mathrm{H}}_{3}{\mathrm{C}\mathrm{H}}_{2}\mathrm{C}\mathrm{l}} $ 是卤代烃,属于烃的衍生物;②
是环状烃,也是芳香烃; $ {\rm ③({\mathrm{C}\mathrm{H}}_{3})_{2}\mathrm{C}\xlongequal{}{\mathrm{C}\mathrm{H}}_{2}} $ 是链状烃;④
属于环状烃;⑤
属于环状烃。综上,选 $ {\rm \mathrm{C}} $ 。
14.乙炔是最简单的炔烃,常用氧炔焰来切割金属。下列有关其化学用语表达不正确的是( )
A. 电子式:
B. 结构简式: $ {\rm \mathrm{C}\mathrm{H}\mathrm{C}\mathrm{H}} $
C. 分子空间结构:直线形
D. 球棍模型:
乙炔分子中 $ {\rm \mathrm{C}} $ 和 $ {\rm \mathrm{C}} $ 共用3个电子对,电子式为
, $ {\rm \mathrm{A}} $ 正确;碳碳三键不能省略,乙炔结构简式为 $ {\rm \mathrm{H}\mathrm{C}\equiv \mathrm{C}\mathrm{H}} $ , $ {\rm \mathrm{B}} $ 错误;乙炔分子的空间结构是直线形, $ {\rm \mathrm{C}} $ 正确;乙炔的结构式为 $ {\rm \mathrm{H}-\mathrm{C}\equiv \mathrm{C}-\mathrm{H}} $ ,球棍模型为
, $ {\rm \mathrm{D}} $ 正确。
15.下列有关苯的说法正确的是( )
A. 苯分子为平面正六边形结构
B. 苯分子中的碳碳键为单双键交替的形式
C. 苯能与溴水发生取代反应
D. 苯能使酸性高锰酸钾溶液褪色
苯的分子式为 $ {\rm {\mathrm{C}}_{6}{\mathrm{H}}_{6}} $ ,分子中12个原子共平面,为平面正六边形结构, $ {\rm \mathrm{A}} $ 正确;苯分子中的碳碳键为介于碳碳单键和碳碳双键之间的特殊的键,并非单双键交替, $ {\rm \mathrm{B}} $ 错误;苯与溴水不反应(仅萃取),苯与溴发生取代反应需液溴和催化剂, $ {\rm \mathrm{C}} $ 错误;苯不能被强氧化剂(如酸性高锰酸钾溶液)氧化,不能使酸性高锰酸钾溶液褪色, $ {\rm \mathrm{D}} $ 错误。